Frame | Nreads | Zeropoints | Mag plots
| Spatial mag deviation
| Spatial sky 16325A emission deviations (filled: sky, open: star)
| Spatial sky continuum emission
| Spatial sky telluric CO2 absorption deviations (filled: H < 10)
|
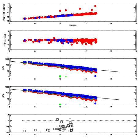
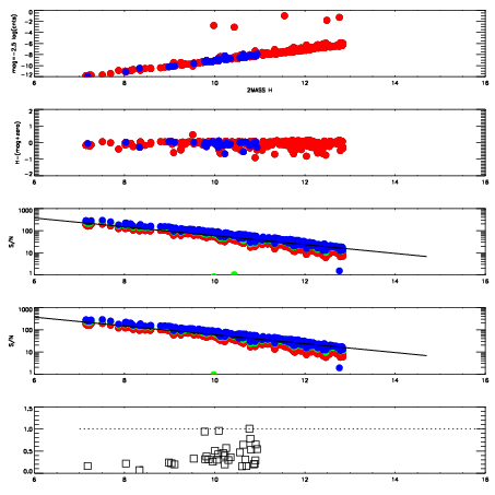
5230010
| 47
| | Red | Green | Blue
| z | | 19.05
| znorm | | 14.87
| sky | 14.0 | 13.9 | 13.9
| S/N | 15.2 | 24.3 | 25.5
| S/N(c) | 24.9 | 4.3 | 6.2
| SN(E/C) | 0.31
|
|
|
|
|
|
|
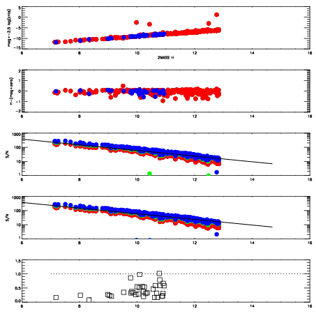
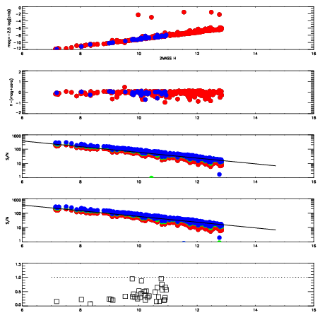
5230011
| 47
| | Red | Green | Blue
| z | | 19.04
| znorm | | 14.86
| sky | 14.0 | 13.9 | 13.9
| S/N | 14.9 | 23.9 | 25.0
| S/N(c) | 24.4 | 4.3 | 6.1
| SN(E/C) | 0.33
|
|
|
|
|
|
|
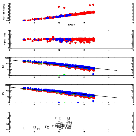
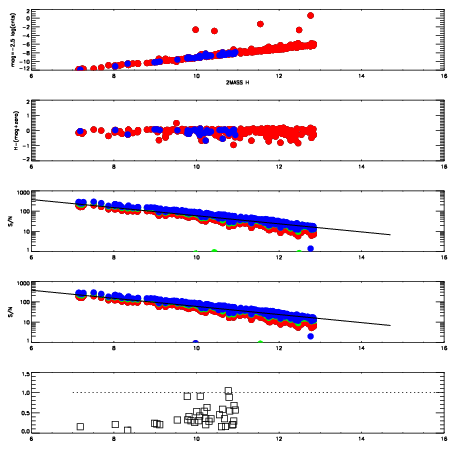
5230012
| 47
| | Red | Green | Blue
| z | | 19.03
| znorm | | 14.85
| sky | 13.9 | 13.9 | 13.8
| S/N | 14.8 | 24.1 | 24.9
| S/N(c) | 24.6 | 4.2 | 6.2
| SN(E/C) | 0.33
|
|
|
|
|
|
|
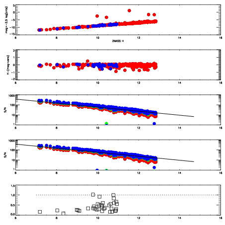
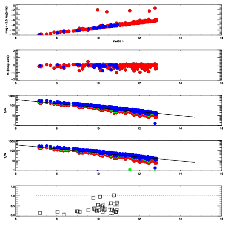
5230013
| 47
| | Red | Green | Blue
| z | | 19.08
| znorm | | 14.90
| sky | 14.0 | 13.9 | 13.9
| S/N | 15.3 | 24.8 | 25.6
| S/N(c) | 25.6 | 4.4 | 6.4
| SN(E/C) | 0.33
|
|
|
|
|
|
|
5230014
| 47
| | Red | Green | Blue
| z | | 19.13
| znorm | | 14.95
| sky | 14.0 | 13.8 | 13.8
| S/N | 15.7 | 25.5 | 26.3
| S/N(c) | 25.8 | 4.4 | 6.5
| SN(E/C) | 0.31
|
|
|
|
|
|
|
5230015
| 47
| | Red | Green | Blue
| z | | 19.12
| znorm | | 14.94
| sky | 14.0 | 14.0 | 13.9
| S/N | 15.7 | 25.7 | 27.0
| S/N(c) | 25.8 | 4.5 | 6.5
| SN(E/C) | 0.32
|
|
|
|
|
|
|
5230016
| 47
| | Red | Green | Blue
| z | | 19.11
| znorm | | 14.93
| sky | 14.1 | 14.0 | 14.0
| S/N | 15.6 | 25.8 | 27.0
| S/N(c) | 25.4 | 4.5 | 6.5
| SN(E/C) | 0.32
|
|
|
|
|
|
|
5230017
| 47
| | Red | Green | Blue
| z | | 19.15
| znorm | | 14.97
| sky | 14.2 | 14.1 | 13.9
| S/N | 16.0 | 25.8 | 27.5
| S/N(c) | 25.8 | 4.5 | 6.7
| SN(E/C) | 0.32
|
|
|
|
|
|
|