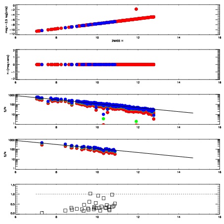
Left plots: red are targets, blue are telluric. Observed mags are calculated from median value of green chip. Zeropoint gives overall throughput: bigger number is more throughput.
First spatial plots: circles are objects, squares are tellurics, crosses are sky fibers. Colors give deviation of observed mag from expected 2MASS mag using the median zeropoint; red is brighter
Second spatial plots: circles are sky fibers. Colors give sky line brightness relative to plate median sky line brightness
FrameNreadsZeropointsMag plots Spatial mag deviation Spatial sky 16325A emission deviations (filled: sky, open: star) Spatial sky continuum emission Spatial sky telluric CO2 absorption deviations (filled: H < 10)
0 0
RedGreenBlue
z17.64
znorm Inf
sky -Inf -NaN -Inf
S/N 20.1 34.5 37.1
S/N(c) 0.0 0.0 0.0
SN(E/C) 0.31

IPAIRNAMESHIFTNEWSHIFTS/N NAMESHIFTNEWSHIFTS/N
0 11730072 0.489697 0.00000 18.5408 11730070 -0.00150437 0.491201 18.5358
1 11730068 0.489322 0.000375003 18.7778 11730073 -0.00496178 0.494659 18.8571
2 11730067 0.489653 4.40180e-05 18.7248 11730066 0.00000 0.489697 18.8301
3 11730071 0.488976 0.000721008 18.3957 11730069 -0.00127474 0.490972 18.1731