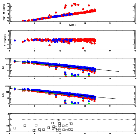
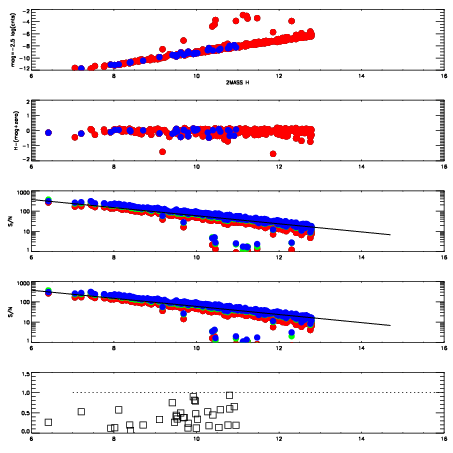
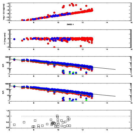
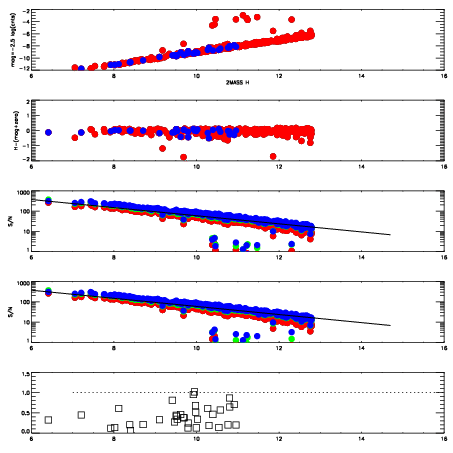
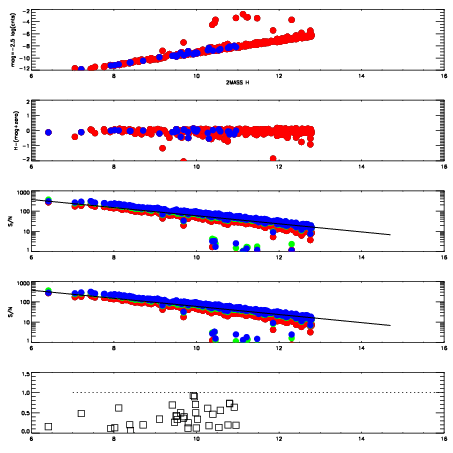
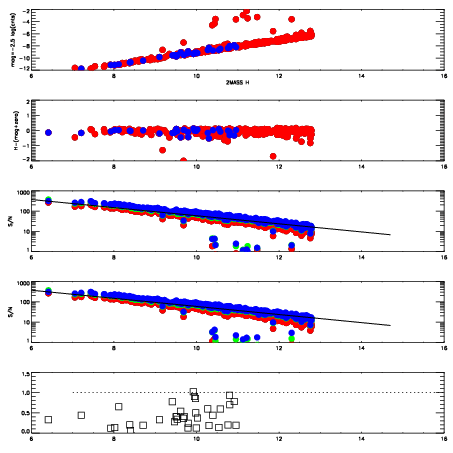
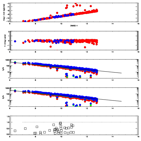
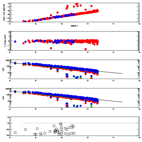
Frame | Nreads | Zeropoints | Mag plots
| Spatial mag deviation
| Spatial sky 16325A emission deviations (filled: sky, open: star)
| Spatial sky continuum emission
| Spatial sky telluric CO2 absorption deviations (filled: H < 10)
|
5230021
| 47
| | Red | Green | Blue
| z | | 19.13
| znorm | | 14.95
| sky | 14.0 | 13.7 | 13.7
| S/N | 16.2 | 24.8 | 25.5
| S/N(c) | 19.4 | 9.7 | 25.0
| SN(E/C) | 0.37
|
|
|
|
|
|
|
5230022
| 47
| | Red | Green | Blue
| z | | 19.13
| znorm | | 14.95
| sky | 14.1 | 13.8 | 13.9
| S/N | 16.3 | 24.9 | 25.9
| S/N(c) | 19.4 | 9.7 | 24.8
| SN(E/C) | 0.38
|
|
|
|
|
|
|
5230023
| 47
| | Red | Green | Blue
| z | | 19.11
| znorm | | 14.93
| sky | 14.1 | 13.9 | 13.9
| S/N | 16.3 | 24.4 | 26.4
| S/N(c) | 19.3 | 9.6 | 25.4
| SN(E/C) | 0.36
|
|
|
|
|
|
|
5230024
| 47
| | Red | Green | Blue
| z | | 19.13
| znorm | | 14.95
| sky | 14.2 | 13.8 | 13.9
| S/N | 16.4 | 24.5 | 26.9
| S/N(c) | 19.5 | 9.6 | 25.4
| SN(E/C) | 0.38
|
|
|
|
|
|
|
5230025
| 47
| | Red | Green | Blue
| z | | 19.12
| znorm | | 14.94
| sky | 14.0 | 13.8 | 13.9
| S/N | 16.2 | 24.3 | 26.9
| S/N(c) | 19.4 | 9.7 | 25.7
| SN(E/C) | 0.37
|
|
|
|
|
|
|
5230026
| 47
| | Red | Green | Blue
| z | | 19.10
| znorm | | 14.91
| sky | 14.0 | 13.9 | 13.8
| S/N | 15.8 | 23.4 | 26.8
| S/N(c) | 19.4 | 9.7 | 25.6
| SN(E/C) | 0.38
|
|
|
|
|
|
|
5230027
| 47
| | Red | Green | Blue
| z | | 19.11
| znorm | | 14.93
| sky | 14.2 | 13.9 | 13.8
| S/N | 16.0 | 23.7 | 27.2
| S/N(c) | 19.4 | 9.7 | 25.6
| SN(E/C) | 0.39
|
|
|
|
|
|
|
5230028
| 47
| | Red | Green | Blue
| z | | 19.16
| znorm | | 14.98
| sky | 14.0 | 13.9 | 13.8
| S/N | 15.8 | 24.3 | 27.7
| S/N(c) | 19.9 | 10.0 | 26.1
| SN(E/C) | 0.37
|
|
|
|
|
|
|