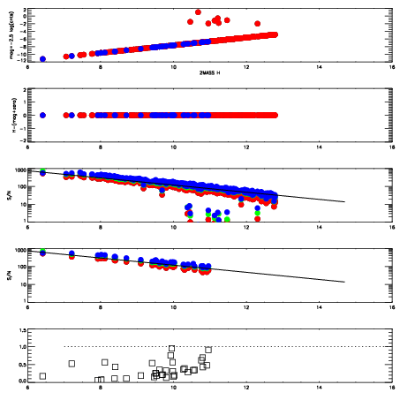
Left plots: red are targets, blue are telluric. Observed mags are calculated from median value of green chip. Zeropoint gives overall throughput: bigger number is more throughput.
First spatial plots: circles are objects, squares are tellurics, crosses are sky fibers. Colors give deviation of observed mag from expected 2MASS mag using the median zeropoint; red is brighter
Second spatial plots: circles are sky fibers. Colors give sky line brightness relative to plate median sky line brightness
FrameNreadsZeropointsMag plots Spatial mag deviation Spatial sky 16325A emission deviations (filled: sky, open: star) Spatial sky continuum emission Spatial sky telluric CO2 absorption deviations (filled: H < 10)
0 0
RedGreenBlue
z17.64
znorm Inf
sky -Inf -NaN -NaN
S/N 28.2 45.0 49.5
S/N(c) 0.0 0.0 0.0
SN(E/C) 0.33

IPAIRNAMESHIFTNEWSHIFTS/N NAMESHIFTNEWSHIFTS/N
0 05230027 0.495097 0.00000 19.0897 05230025 0.00199644 0.493101 19.1007
1 05230022 0.493488 0.00160900 19.1019 05230028 0.000940323 0.494157 19.1417
2 05230023 0.493496 0.00160101 19.0979 05230024 0.000903114 0.494194 19.1116
3 05230026 0.494653 0.000444025 19.0714 05230021 0.00000 0.495097 19.0895