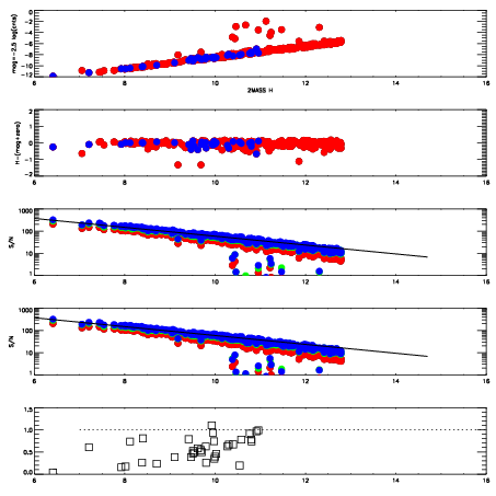
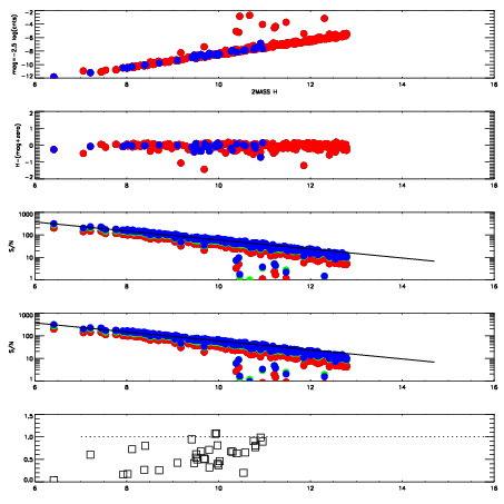
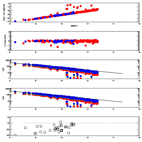
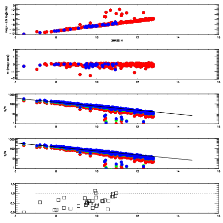
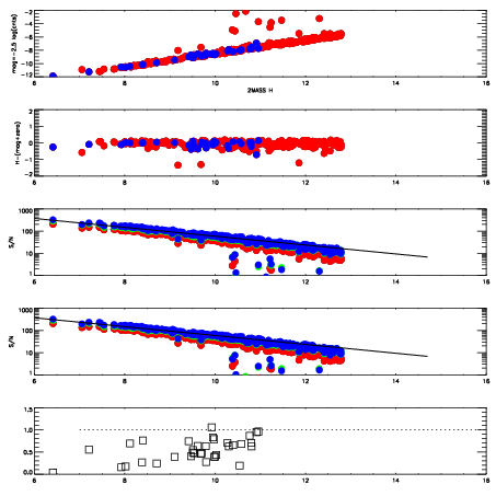
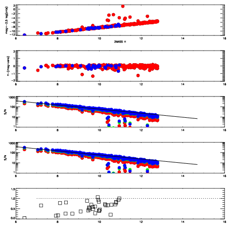
Frame | Nreads | Zeropoints | Mag plots
| Spatial mag deviation
| Spatial sky 16325A emission deviations (filled: sky, open: star)
| Spatial sky continuum emission
| Spatial sky telluric CO2 absorption deviations (filled: H < 10)
|
8760037
| 47
| | Red | Green | Blue
| z | | 18.83
| znorm | | 14.65
| sky | 14.3 | 14.2 | 14.5
| S/N | 14.3 | 23.1 | 24.8
| S/N(c) | 27.4 | 17.3 | 26.0
| SN(E/C) | 0.52
|
|
|
|
|
|
|
8760038
| 47
| | Red | Green | Blue
| z | | 18.83
| znorm | | 14.65
| sky | 14.3 | 14.3 | 14.5
| S/N | 14.3 | 23.1 | 24.5
| S/N(c) | 27.3 | 17.1 | 25.8
| SN(E/C) | 0.51
|
|
|
|
|
|
|
8760039
| 47
| | Red | Green | Blue
| z | | 18.48
| znorm | | 14.30
| sky | 14.7 | 14.4 | 14.6
| S/N | 10.9 | 18.5 | 19.3
| S/N(c) | 22.1 | 14.5 | 21.8
| SN(E/C) | 0.61
|
|
|
|
|
|
|
8760040
| 47
| | Red | Green | Blue
| z | | 18.31
| znorm | | 14.13
| sky | 14.6 | 14.6 | 15.0
| S/N | 9.6 | 16.7 | 18.0
| S/N(c) | 20.1 | 13.5 | 20.1
| SN(E/C) | 0.62
|
|
|
|
|
|
|
8760041
| 47
| | Red | Green | Blue
| z | | 18.54
| znorm | | 14.36
| sky | 14.5 | 14.5 | 14.7
| S/N | 11.6 | 19.6 | 20.8
| S/N(c) | 23.2 | 15.1 | 22.7
| SN(E/C) | 0.55
|
|
|
|
|
|
|
8760042
| 47
| | Red | Green | Blue
| z | | 18.48
| znorm | | 14.30
| sky | 14.5 | 14.6 | 14.9
| S/N | 10.9 | 18.7 | 20.2
| S/N(c) | 22.7 | 14.6 | 22.0
| SN(E/C) | 0.60
|
|
|
|
|
|
|
8760043
| 47
| | Red | Green | Blue
| z | | 18.54
| znorm | | 14.36
| sky | 14.7 | 14.6 | 14.7
| S/N | 11.6 | 19.9 | 21.2
| S/N(c) | 23.3 | 15.2 | 22.6
| SN(E/C) | 0.58
|
|
|
|
|
|
|
8760044
| 47
| | Red | Green | Blue
| z | | 18.56
| znorm | | 14.38
| sky | 14.5 | 14.7 | 14.7
| S/N | 11.3 | 20.3 | 21.5
| S/N(c) | 23.7 | 14.9 | 22.6
| SN(E/C) | 0.54
|
|
|
|
|
|
|