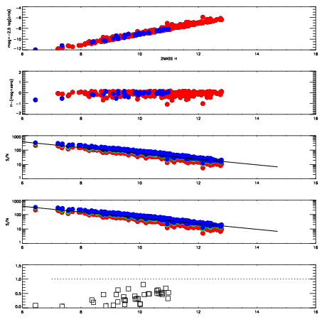
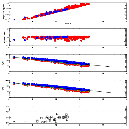
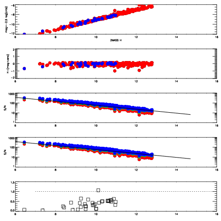
Frame | Nreads | Zeropoints | Mag plots
| Spatial mag deviation
| Spatial sky 16325A emission deviations (filled: sky, open: star)
| Spatial sky continuum emission
| Spatial sky telluric CO2 absorption deviations (filled: H < 10)
|
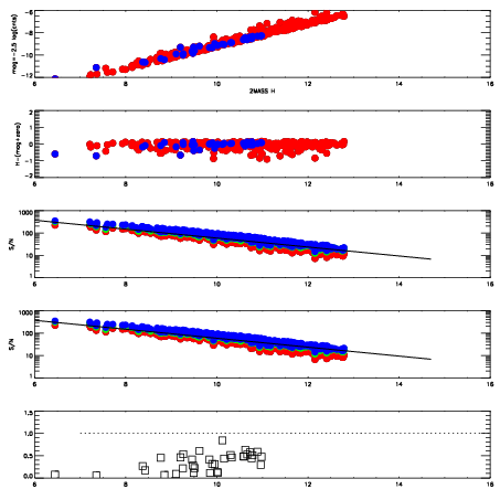
5230036
| 47
| | Red | Green | Blue
| z | | 19.12
| znorm | | 14.94
| sky | 14.2 | 13.8 | 13.8
| S/N | 15.6 | 25.3 | 25.7
| S/N(c) | 22.1 | 16.5 | 24.0
| SN(E/C) | 0.42
|
|
|
|
|
|
|
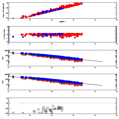
5230037
| 47
| | Red | Green | Blue
| z | | 19.08
| znorm | | 14.90
| sky | 14.3 | 13.9 | 13.9
| S/N | 15.5 | 24.6 | 25.7
| S/N(c) | 21.0 | 15.6 | 23.0
| SN(E/C) | 0.41
|
|
|
|
|
|
|
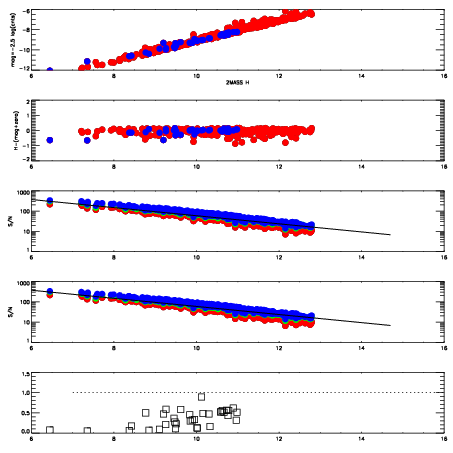
5230038
| 47
| | Red | Green | Blue
| z | | 19.11
| znorm | | 14.93
| sky | 14.0 | 13.9 | 13.9
| S/N | 15.3 | 25.0 | 26.3
| S/N(c) | 21.2 | 16.1 | 23.6
| SN(E/C) | 0.41
|
|
|
|
|
|
|
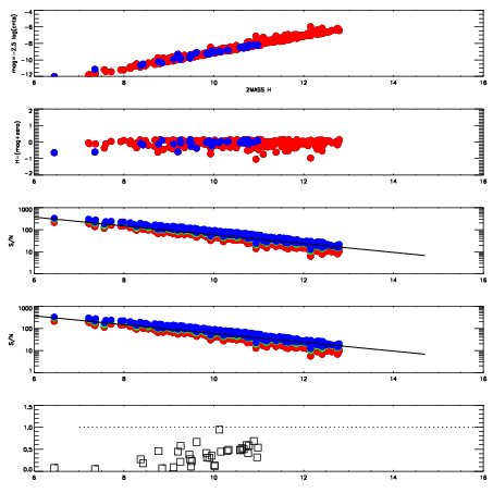
5230039
| 47
| | Red | Green | Blue
| z | | 19.13
| znorm | | 14.95
| sky | 14.2 | 13.9 | 13.9
| S/N | 15.8 | 25.7 | 26.9
| S/N(c) | 21.7 | 16.3 | 23.8
| SN(E/C) | 0.36
|
|
|
|
|
|
|
5230040
| 47
| | Red | Green | Blue
| z | | 19.13
| znorm | | 14.95
| sky | 14.0 | 14.0 | 14.0
| S/N | 15.8 | 25.9 | 27.3
| S/N(c) | 21.7 | 16.2 | 23.8
| SN(E/C) | 0.41
|
|
|
|
|
|
|
5230041
| 47
| | Red | Green | Blue
| z | | 19.13
| znorm | | 14.95
| sky | 14.2 | 14.1 | 14.0
| S/N | 15.9 | 25.9 | 27.5
| S/N(c) | 22.2 | 16.4 | 24.1
| SN(E/C) | 0.40
|
|
|
|
|
|
|
5230042
| 47
| | Red | Green | Blue
| z | | 19.16
| znorm | | 14.98
| sky | 14.2 | 14.0 | 14.0
| S/N | 16.7 | 27.3 | 28.2
| S/N(c) | 22.2 | 16.5 | 24.3
| SN(E/C) | 0.41
|
|
|
|
|
|
|
5230043
| 47
| | Red | Green | Blue
| z | | 19.15
| znorm | | 14.97
| sky | 14.2 | 14.2 | 14.3
| S/N | 16.3 | 27.0 | 28.1
| S/N(c) | 22.1 | 16.5 | 24.2
| SN(E/C) | 0.41
|
|
|
|
|
|
|