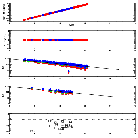
Left plots: red are targets, blue are telluric. Observed mags are calculated from median value of green chip. Zeropoint gives overall throughput: bigger number is more throughput.
First spatial plots: circles are objects, squares are tellurics, crosses are sky fibers. Colors give deviation of observed mag from expected 2MASS mag using the median zeropoint; red is brighter
Second spatial plots: circles are sky fibers. Colors give sky line brightness relative to plate median sky line brightness
FrameNreadsZeropointsMag plots Spatial mag deviation Spatial sky 16325A emission deviations (filled: sky, open: star) Spatial sky continuum emission Spatial sky telluric CO2 absorption deviations (filled: H < 10)
0 0
RedGreenBlue
z17.64
znorm Inf
sky -Inf -Inf -Inf
S/N 29.3 47.2 51.8
S/N(c) 0.0 0.0 0.0
SN(E/C) 0.43

IPAIRNAMESHIFTNEWSHIFTS/N NAMESHIFTNEWSHIFTS/N
0 12000068 0.499589 0.00000 19.0870 12000070 -0.000916998 0.500506 19.0930
1 12000071 0.496438 0.00315100 19.1421 12000069 -0.000282941 0.499872 19.1059
2 12000067 0.499583 5.99027e-06 19.1307 12000073 -0.00357229 0.503161 19.1045
3 12000072 0.497034 0.00255498 19.0745 12000066 0.00000 0.499589 19.0634