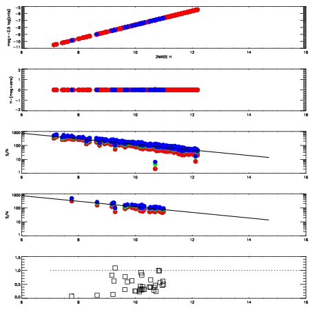
Left plots: red are targets, blue are telluric. Observed mags are calculated from median value of green chip. Zeropoint gives overall throughput: bigger number is more throughput.
First spatial plots: circles are objects, squares are tellurics, crosses are sky fibers. Colors give deviation of observed mag from expected 2MASS mag using the median zeropoint; red is brighter
Second spatial plots: circles are sky fibers. Colors give sky line brightness relative to plate median sky line brightness
FrameNreadsZeropointsMag plots Spatial mag deviation Spatial sky 16325A emission deviations (filled: sky, open: star) Spatial sky continuum emission Spatial sky telluric CO2 absorption deviations (filled: H < 10)
0 0
RedGreenBlue
z17.64
znorm Inf
sky -Inf -Inf -Inf
S/N 26.7 45.9 48.2
S/N(c) 0.0 0.0 0.0
SN(E/C) 0.41

IPAIRNAMESHIFTNEWSHIFTS/N NAMESHIFTNEWSHIFTS/N
0 12060072 0.499503 0.00000 18.9535 12060073 -0.00530916 0.504812 18.9435
1 12060075 0.498248 0.00125498 19.0299 12060077 -0.00559963 0.505103 19.0434
2 12060076 0.498699 0.000803977 19.0198 12060074 -0.00517384 0.504677 18.9864
3 12060071 0.499386 0.000116974 18.9064 12060070 0.00000 0.499503 18.8764