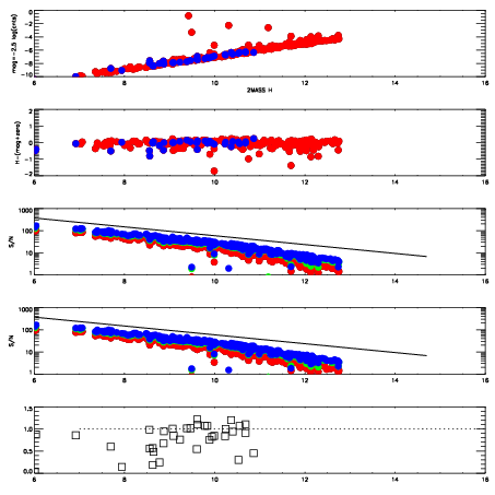
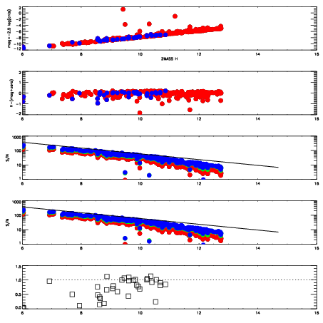
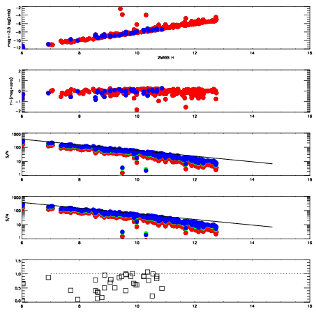
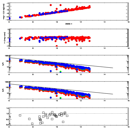
Left plots: red are targets, blue are telluric. Observed mags are calculated from median value of green chip. Zeropoint gives overall throughput: bigger number is more throughput.
First spatial plots: circles are objects, squares are tellurics, crosses are sky fibers. Colors give deviation of observed mag from expected 2MASS mag using the median zeropoint; red is brighter
Second spatial plots: circles are sky fibers. Colors give sky line brightness relative to plate median sky line brightness
FrameNreadsZeropointsMag plots Spatial mag deviation Spatial sky 16325A emission deviations (filled: sky, open: star) Spatial sky continuum emission Spatial sky telluric CO2 absorption deviations (filled: H < 10)
12020027 47
RedGreenBlue
z16.96
znorm12.78
sky 13.6 13.5 13.7
S/N 3.0 5.9 6.4
S/N(c) 3.6 3.6 1.8
SN(E/C) 0.84
12020028 47
RedGreenBlue
z18.00
znorm13.82
sky 14.1 13.9 14.1
S/N 6.7 12.3 13.1
S/N(c) 7.4 6.4 3.2
SN(E/C) 0.70
12020029 47
RedGreenBlue
z17.73
znorm13.55
sky 13.8 13.9 14.1
S/N 5.4 10.3 10.8
S/N(c) 5.9 5.4 2.8
SN(E/C) 0.79
12020030 47
RedGreenBlue
z17.38
znorm13.20
sky 13.7 13.7 14.0
S/N 4.2 7.7 8.3
S/N(c) 4.6 4.5 2.3
SN(E/C) 0.81