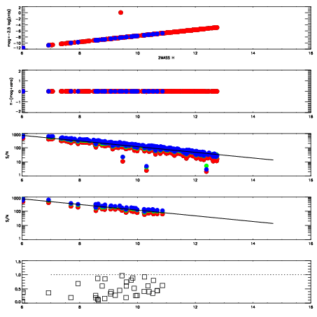
Left plots: red are targets, blue are telluric. Observed mags are calculated from median value of green chip. Zeropoint gives overall throughput: bigger number is more throughput.
First spatial plots: circles are objects, squares are tellurics, crosses are sky fibers. Colors give deviation of observed mag from expected 2MASS mag using the median zeropoint; red is brighter
Second spatial plots: circles are sky fibers. Colors give sky line brightness relative to plate median sky line brightness
FrameNreadsZeropointsMag plots Spatial mag deviation Spatial sky 16325A emission deviations (filled: sky, open: star) Spatial sky continuum emission Spatial sky telluric CO2 absorption deviations (filled: H < 10)
0 0
RedGreenBlue
z17.64
znorm Inf
sky -NaN -NaN -NaN
S/N 22.7 41.2 42.3
S/N(c) 0.0 0.0 0.0
SN(E/C) 0.41

IPAIRNAMESHIFTNEWSHIFTS/N NAMESHIFTNEWSHIFTS/N
0 12060083 0.500630 0.00000 18.9993 12060088 -0.00394027 0.504570 19.0389
1 12060086 0.499316 0.00131401 18.9416 12060085 -0.00434880 0.504979 18.9955
2 12060082 0.499736 0.000894010 18.9193 12060084 -0.00453342 0.505163 18.9838
3 12060087 0.500194 0.000436008 18.8710 12060081 0.00000 0.500630 18.9281