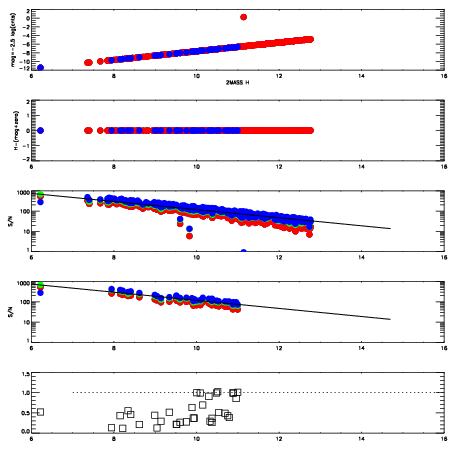
Left plots: red are targets, blue are telluric. Observed mags are calculated from median value of green chip. Zeropoint gives overall throughput: bigger number is more throughput.
First spatial plots: circles are objects, squares are tellurics, crosses are sky fibers. Colors give deviation of observed mag from expected 2MASS mag using the median zeropoint; red is brighter
Second spatial plots: circles are sky fibers. Colors give sky line brightness relative to plate median sky line brightness
FrameNreadsZeropointsMag plots Spatial mag deviation Spatial sky 16325A emission deviations (filled: sky, open: star) Spatial sky continuum emission Spatial sky telluric CO2 absorption deviations (filled: H < 10)
0 0
RedGreenBlue
z17.64
znorm Inf
sky -Inf -Inf -Inf
S/N 24.1 41.3 45.9
S/N(c) 0.0 0.0 0.0
SN(E/C) 0.44

IPAIRNAMESHIFTNEWSHIFTS/N NAMESHIFTNEWSHIFTS/N
0 11930019 0.500425 0.00000 18.8945 11930025 -0.00443759 0.504863 18.8886
1 11930020 0.500225 0.000199974 18.8830 11930018 0.00000 0.500425 18.8788
2 11930024 0.500243 0.000181973 18.8497 11930021 -0.00588417 0.506309 18.8693
3 11930023 0.500187 0.000238001 18.7258 11930022 -0.00533921 0.505764 18.8584