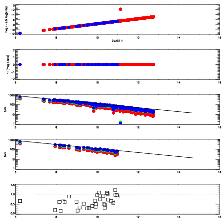
Left plots: red are targets, blue are telluric. Observed mags are calculated from median value of green chip. Zeropoint gives overall throughput: bigger number is more throughput.
First spatial plots: circles are objects, squares are tellurics, crosses are sky fibers. Colors give deviation of observed mag from expected 2MASS mag using the median zeropoint; red is brighter
Second spatial plots: circles are sky fibers. Colors give sky line brightness relative to plate median sky line brightness
FrameNreadsZeropointsMag plots Spatial mag deviation Spatial sky 16325A emission deviations (filled: sky, open: star) Spatial sky continuum emission Spatial sky telluric CO2 absorption deviations (filled: H < 10)
0 0
RedGreenBlue
z17.64
znorm Inf
sky -Inf -NaN -Inf
S/N 15.3 28.9 30.9
S/N(c) 0.0 0.0 0.0
SN(E/C) 0.61

IPAIRNAMESHIFTNEWSHIFTS/N NAMESHIFTNEWSHIFTS/N
0 12150049 0.499719 0.00000 18.4918 12150050 -0.000627916 0.500347 18.4767
1 12150048 0.499453 0.000265986 18.3963 12150047 0.00000 0.499719 18.4469
2 12150053 0.498945 0.000773996 17.5690 12150054 -0.00325402 0.502973 18.1355
3 12150052 0.498918 0.000800997 17.5312 12150051 -0.000503194 0.500222 17.9604