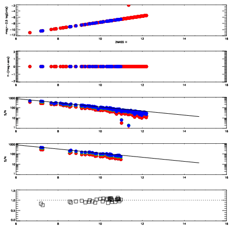
Left plots: red are targets, blue are telluric. Observed mags are calculated from median value of green chip. Zeropoint gives overall throughput: bigger number is more throughput.
First spatial plots: circles are objects, squares are tellurics, crosses are sky fibers. Colors give deviation of observed mag from expected 2MASS mag using the median zeropoint; red is brighter
Second spatial plots: circles are sky fibers. Colors give sky line brightness relative to plate median sky line brightness
FrameNreadsZeropointsMag plots Spatial mag deviation Spatial sky 16325A emission deviations (filled: sky, open: star) Spatial sky continuum emission Spatial sky telluric CO2 absorption deviations (filled: H < 10)
0 0
RedGreenBlue
z17.63
znorm Inf
sky -NaN -NaN -NaN
S/N 16.3 29.8 29.5
S/N(c) 0.0 0.0 0.0
SN(E/C) 1.02

IPAIRNAMESHIFTNEWSHIFTS/N NAMESHIFTNEWSHIFTS/N
0 04590035 0.502306 0.00000 18.2053 04590033 0.000768353 0.501538 18.3348
1 04590036 0.502205 0.000100970 18.5805 04590037 0.00268434 0.499622 18.7000
2 04590032 0.501490 0.000815988 18.1949 04590034 0.00241752 0.499888 18.2154
3 04590031 0.498885 0.00342098 18.0977 04590030 0.00000 0.502306 17.9282