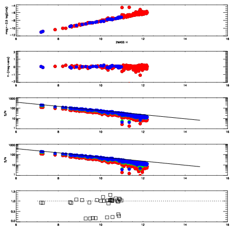
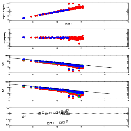
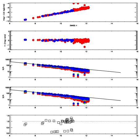
Frame | Nreads | Zeropoints | Mag plots
| Spatial mag deviation
| Spatial sky 16325A emission deviations (filled: sky, open: star)
| Spatial sky continuum emission
| Spatial sky telluric CO2 absorption deviations (filled: H < 10)
|
6070010
| 47
| | Red | Green | Blue
| z | | 18.38
| znorm | | 14.20
| sky | 13.7 | 13.6 | 13.5
| S/N | 9.6 | 16.4 | 15.6
| S/N(c) | 9.6 | 14.9 | 5.1
| SN(E/C) | 0.94
|
|
|
|
|
|
|
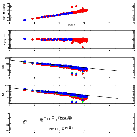
6070011
| 47
| | Red | Green | Blue
| z | | 18.42
| znorm | | 14.24
| sky | 14.0 | 13.8 | 13.7
| S/N | 9.9 | 16.3 | 15.9
| S/N(c) | 9.6 | 14.9 | 5.3
| SN(E/C) | 0.98
|
|
|
|
|
|
|
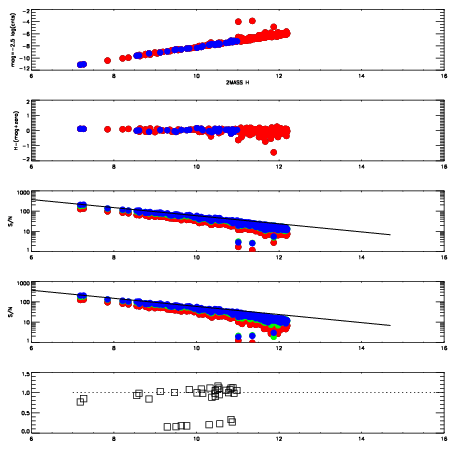
6070012
| 47
| | Red | Green | Blue
| z | | 18.18
| znorm | | 14.00
| sky | 13.7 | 13.7 | 13.7
| S/N | 8.1 | 14.0 | 13.8
| S/N(c) | 8.0 | 12.6 | 4.6
| SN(E/C) | 0.98
|
|
|
|
|
|
|
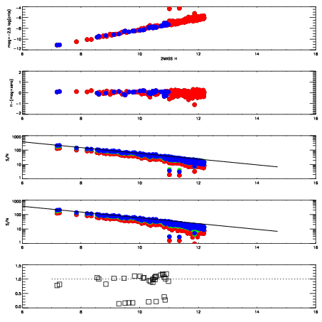
6070013
| 47
| | Red | Green | Blue
| z | | 18.11
| znorm | | 13.93
| sky | 13.9 | 13.9 | 13.8
| S/N | 7.8 | 13.5 | 13.3
| S/N(c) | 7.5 | 12.4 | 4.4
| SN(E/C) | 1.01
|
|
|
|
|
|
|
6070014
| 47
| | Red | Green | Blue
| z | | 18.24
| znorm | | 14.06
| sky | 14.0 | 14.0 | 13.9
| S/N | 8.7 | 15.1 | 14.6
| S/N(c) | 8.1 | 13.2 | 4.8
| SN(E/C) | 0.97
|
|
|
|
|
|
|
6070015
| 47
| | Red | Green | Blue
| z | | 18.13
| znorm | | 13.95
| sky | 14.1 | 14.0 | 14.1
| S/N | 8.0 | 13.9 | 13.9
| S/N(c) | 7.5 | 12.4 | 4.5
| SN(E/C) | 0.97
|
|
|
|
|
|
|
6070016
| 47
| | Red | Green | Blue
| z | | 18.22
| znorm | | 14.04
| sky | 13.9 | 14.0 | 14.0
| S/N | 8.4 | 14.7 | 14.3
| S/N(c) | 8.0 | 13.0 | 4.8
| SN(E/C) | 1.00
|
|
|
|
|
|
|
6070017
| 47
| | Red | Green | Blue
| z | | 18.16
| znorm | | 13.98
| sky | 14.1 | 14.0 | 13.9
| S/N | 7.9 | 14.2 | 13.9
| S/N(c) | 7.7 | 12.7 | 4.5
| SN(E/C) | 1.00
|
|
|
|
|
|
|