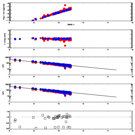
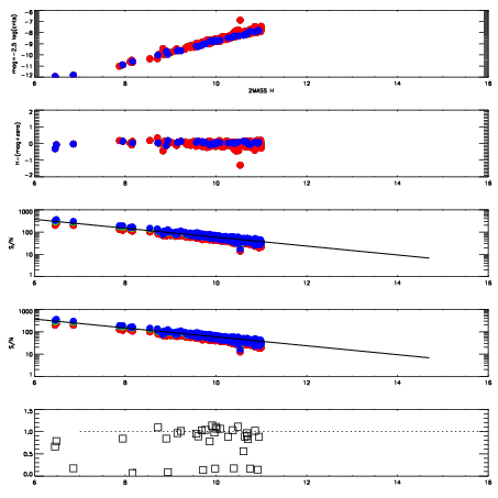
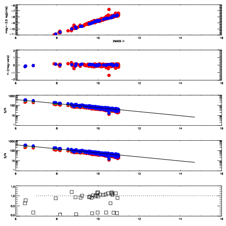
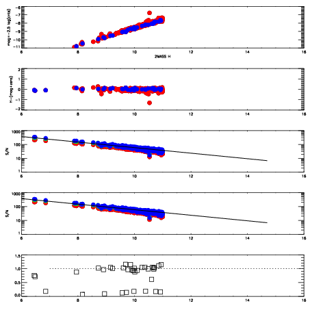
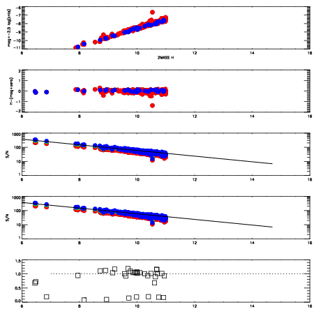
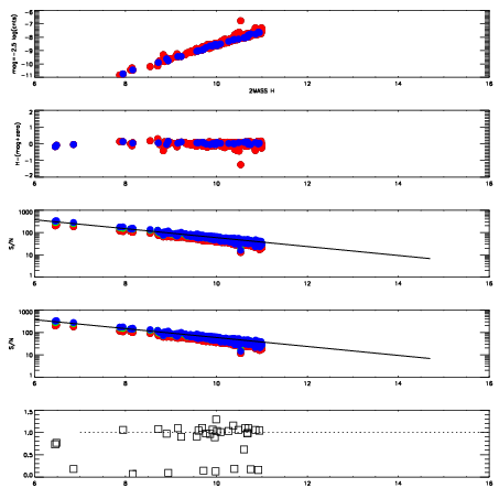
Left plots: red are targets, blue are telluric. Observed mags are calculated from median value of green chip. Zeropoint gives overall throughput: bigger number is more throughput.
First spatial plots: circles are objects, squares are tellurics, crosses are sky fibers. Colors give deviation of observed mag from expected 2MASS mag using the median zeropoint; red is brighter
Second spatial plots: circles are sky fibers. Colors give sky line brightness relative to plate median sky line brightness
FrameNreadsZeropointsMag plots Spatial mag deviation Spatial sky 16325A emission deviations (filled: sky, open: star) Spatial sky continuum emission Spatial sky telluric CO2 absorption deviations (filled: H < 10)
8360144 47
RedGreenBlue
z18.71
znorm14.53
sky 14.1 14.1 14.0
S/N 16.3 22.0 21.4
S/N(c) 18.9 17.1 13.4
SN(E/C) 0.89
8360145 47
RedGreenBlue
z18.66
znorm14.48
sky 14.1 14.2 14.1
S/N 15.6 21.2 20.9
S/N(c) 18.2 16.7 13.1
SN(E/C) 0.96
8360146 47
RedGreenBlue
z18.56
znorm14.38
sky 14.2 14.1 14.1
S/N 14.6 20.3 19.9
S/N(c) 17.1 15.8 12.3
SN(E/C) 0.98
8360147 47
RedGreenBlue
z18.61
znorm14.43
sky 14.1 14.1 14.1
S/N 14.8 20.6 20.3
S/N(c) 17.5 16.3 12.7
SN(E/C) 0.97
8360148 47
RedGreenBlue
z18.56
znorm14.38
sky 13.9 14.0 14.1
S/N 14.4 20.1 19.8
S/N(c) 17.1 16.0 12.5
SN(E/C) 1.00
8360149 47
RedGreenBlue
z18.68
znorm14.50
sky 13.9 14.0 13.9
S/N 15.4 21.4 20.9
S/N(c) 18.1 16.9 13.2
SN(E/C) 0.94