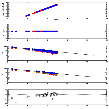
Left plots: red are targets, blue are telluric. Observed mags are calculated from median value of green chip. Zeropoint gives overall throughput: bigger number is more throughput.
First spatial plots: circles are objects, squares are tellurics, crosses are sky fibers. Colors give deviation of observed mag from expected 2MASS mag using the median zeropoint; red is brighter
Second spatial plots: circles are sky fibers. Colors give sky line brightness relative to plate median sky line brightness
FrameNreadsZeropointsMag plots Spatial mag deviation Spatial sky 16325A emission deviations (filled: sky, open: star) Spatial sky continuum emission Spatial sky telluric CO2 absorption deviations (filled: H < 10)
0 0
RedGreenBlue
z17.64
znorm Inf
sky -NaN -NaN -Inf
S/N 22.1 31.0 30.8
S/N(c) 0.0 0.0 0.0
SN(E/C) 0.96

IPAIRNAMESHIFTNEWSHIFTS/N NAMESHIFTNEWSHIFTS/N
0 08470106 0.483664 0.00000 18.5875 08470104 0.00000 0.483664 18.5584
1 08470105 0.483612 5.20051e-05 18.5471 08470107 0.00275621 0.480908 18.5183
2 08470109 0.482708 0.000955999 18.3655 08470108 0.00270924 0.480955 18.5053