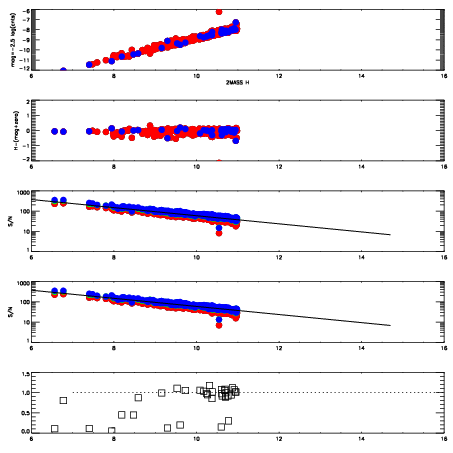
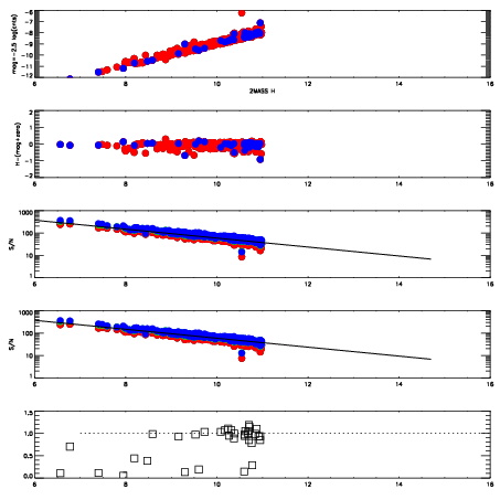
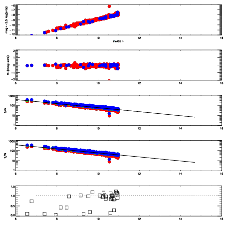
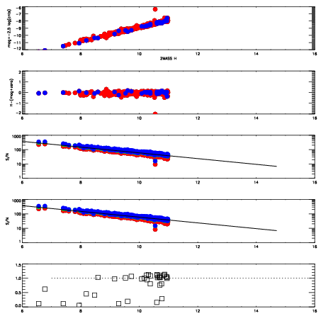
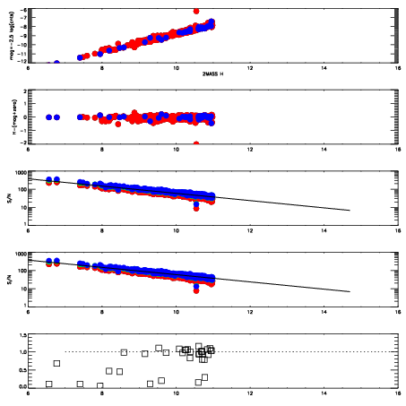
Left plots: red are targets, blue are telluric. Observed mags are calculated from median value of green chip. Zeropoint gives overall throughput: bigger number is more throughput.
First spatial plots: circles are objects, squares are tellurics, crosses are sky fibers. Colors give deviation of observed mag from expected 2MASS mag using the median zeropoint; red is brighter
Second spatial plots: circles are sky fibers. Colors give sky line brightness relative to plate median sky line brightness
FrameNreadsZeropointsMag plots Spatial mag deviation Spatial sky 16325A emission deviations (filled: sky, open: star) Spatial sky continuum emission Spatial sky telluric CO2 absorption deviations (filled: H < 10)
4710010 47
RedGreenBlue
z18.98
znorm14.80
sky 14.1 14.0 13.8
S/N 18.0 24.5 25.8
S/N(c) 20.8 13.9 7.6
SN(E/C) 0.94
4710011 47
RedGreenBlue
z18.91
znorm14.73
sky 14.2 14.1 14.2
S/N 17.1 23.8 25.4
S/N(c) 20.1 13.5 7.4
SN(E/C) 0.95
4710012 47
RedGreenBlue
z18.84
znorm14.66
sky 14.2 14.1 14.2
S/N 16.6 23.5 24.5
S/N(c) 19.8 13.2 7.2
SN(E/C) 0.95
4710013 47
RedGreenBlue
z18.93
znorm14.75
sky 14.1 14.2 14.1
S/N 17.5 24.5 26.0
S/N(c) 20.6 13.8 7.6
SN(E/C) 0.94
4710014 47
RedGreenBlue
z18.90
znorm14.72
sky 14.3 14.2 14.1
S/N 17.2 24.3 25.5
S/N(c) 20.5 13.6 7.6
SN(E/C) 1.00
4710015 47
RedGreenBlue
z18.92
znorm14.74
sky 14.3 14.2 14.2
S/N 17.3 24.2 25.2
S/N(c) 20.5 13.8 7.7
SN(E/C) 0.98