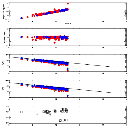
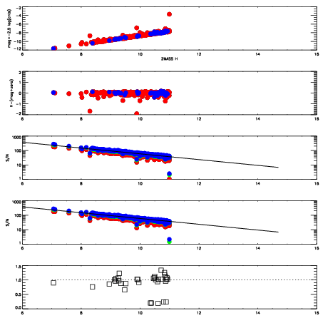
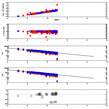
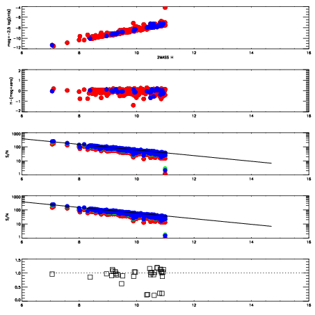
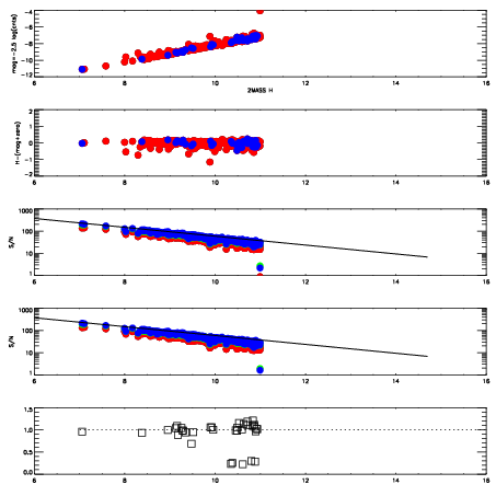
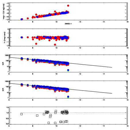
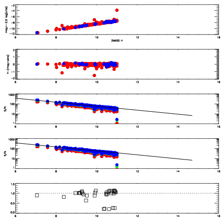
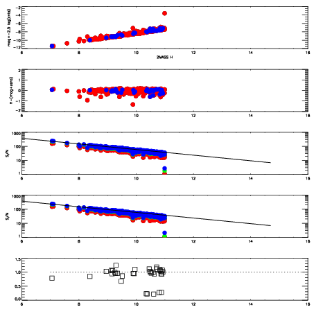
Frame | Nreads | Zeropoints | Mag plots
| Spatial mag deviation
| Spatial sky 16325A emission deviations (filled: sky, open: star)
| Spatial sky continuum emission
| Spatial sky telluric CO2 absorption deviations (filled: H < 10)
|
11980033
| 47
| | Red | Green | Blue
| z | | 18.40
| znorm | | 14.22
| sky | 14.0 | 13.8 | 13.7
| S/N | 12.4 | 18.1 | 18.3
| S/N(c) | 16.1 | 19.1 | 15.1
| SN(E/C) | 0.99
|
|
|
|
|
|
|
11980034
| 47
| | Red | Green | Blue
| z | | 18.22
| znorm | | 14.04
| sky | 14.0 | 13.9 | 14.0
| S/N | 11.3 | 16.7 | 16.8
| S/N(c) | 14.4 | 17.6 | 14.1
| SN(E/C) | 1.03
|
|
|
|
|
|
|
11980035
| 47
| | Red | Green | Blue
| z | | 18.17
| znorm | | 13.99
| sky | 14.0 | 13.8 | 13.9
| S/N | 10.9 | 16.2 | 16.1
| S/N(c) | 14.3 | 17.2 | 13.7
| SN(E/C) | 1.00
|
|
|
|
|
|
|
11980036
| 47
| | Red | Green | Blue
| z | | 18.35
| znorm | | 14.16
| sky | 13.9 | 13.9 | 14.0
| S/N | 11.8 | 18.0 | 18.4
| S/N(c) | 15.7 | 19.2 | 15.1
| SN(E/C) | 0.97
|
|
|
|
|
|
|
11980037
| 47
| | Red | Green | Blue
| z | | 18.60
| znorm | | 14.42
| sky | 14.1 | 13.8 | 13.9
| S/N | 13.9 | 20.3 | 20.7
| S/N(c) | 18.1 | 21.2 | 17.4
| SN(E/C) | 0.99
|
|
|
|
|
|
|
11980038
| 47
| | Red | Green | Blue
| z | | 18.43
| znorm | | 14.25
| sky | 14.0 | 13.9 | 13.9
| S/N | 12.7 | 18.6 | 19.1
| S/N(c) | 16.5 | 19.7 | 16.1
| SN(E/C) | 1.01
|
|
|
|
|
|
|
11980039
| 47
| | Red | Green | Blue
| z | | 18.53
| znorm | | 14.35
| sky | 14.1 | 13.9 | 13.9
| S/N | 13.4 | 19.5 | 20.1
| S/N(c) | 17.5 | 20.9 | 16.8
| SN(E/C) | 0.98
|
|
|
|
|
|
|
11980040
| 47
| | Red | Green | Blue
| z | | 18.66
| znorm | | 14.48
| sky | 14.1 | 14.0 | 13.9
| S/N | 14.7 | 21.2 | 21.6
| S/N(c) | 18.9 | 22.5 | 18.2
| SN(E/C) | 1.00
|
|
|
|
|
|
|