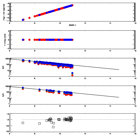
Left plots: red are targets, blue are telluric. Observed mags are calculated from median value of green chip. Zeropoint gives overall throughput: bigger number is more throughput.
First spatial plots: circles are objects, squares are tellurics, crosses are sky fibers. Colors give deviation of observed mag from expected 2MASS mag using the median zeropoint; red is brighter
Second spatial plots: circles are sky fibers. Colors give sky line brightness relative to plate median sky line brightness
FrameNreadsZeropointsMag plots Spatial mag deviation Spatial sky 16325A emission deviations (filled: sky, open: star) Spatial sky continuum emission Spatial sky telluric CO2 absorption deviations (filled: H < 10)
0 0
RedGreenBlue
z17.64
znorm Inf
sky -Inf -NaN -NaN
S/N 22.2 34.2 34.8
S/N(c) 0.0 0.0 0.0
SN(E/C) 0.99

IPAIRNAMESHIFTNEWSHIFTS/N NAMESHIFTNEWSHIFTS/N
0 11980035 0.506186 0.00000 18.1505 11980036 -0.00289064 0.509077 18.3250
1 11980039 0.502450 0.00373602 18.5112 11980040 -0.00143567 0.507622 18.6354
2 11980038 0.502311 0.00387502 18.4111 11980037 -0.00373315 0.509919 18.5759
3 11980034 0.504217 0.00196898 18.2020 11980033 0.00000 0.506186 18.3671