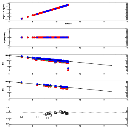
Left plots: red are targets, blue are telluric. Observed mags are calculated from median value of green chip. Zeropoint gives overall throughput: bigger number is more throughput.
First spatial plots: circles are objects, squares are tellurics, crosses are sky fibers. Colors give deviation of observed mag from expected 2MASS mag using the median zeropoint; red is brighter
Second spatial plots: circles are sky fibers. Colors give sky line brightness relative to plate median sky line brightness
FrameNreadsZeropointsMag plots Spatial mag deviation Spatial sky 16325A emission deviations (filled: sky, open: star) Spatial sky continuum emission Spatial sky telluric CO2 absorption deviations (filled: H < 10)
0 0
RedGreenBlue
z17.64
znorm Inf
sky -NaN -NaN -NaN
S/N 26.5 40.0 41.9
S/N(c) 0.0 0.0 0.0
SN(E/C) 0.95

IPAIRNAMESHIFTNEWSHIFTS/N NAMESHIFTNEWSHIFTS/N
0 12070090 0.498676 0.00000 18.4933 12070088 0.00000 0.498676 18.3531
1 12070094 0.496160 0.00251600 18.9441 12070095 -0.00154150 0.500217 18.8327
2 12070093 0.497195 0.00148100 18.8378 12070092 -5.64106e-05 0.498732 18.7632
3 12070089 0.497791 0.000885010 18.4949 12070091 0.000196915 0.498479 18.5548