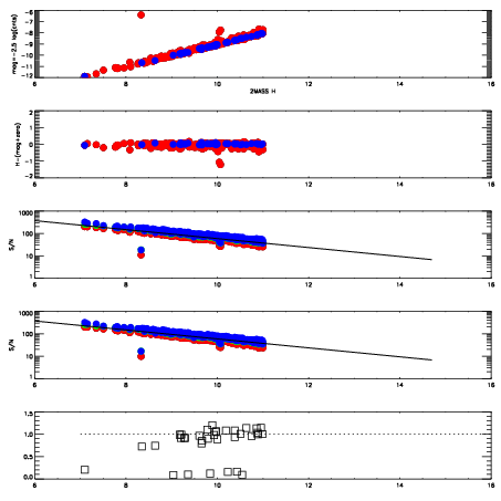
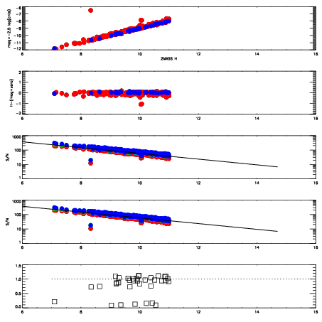
Left plots: red are targets, blue are telluric. Observed mags are calculated from median value of green chip. Zeropoint gives overall throughput: bigger number is more throughput.
First spatial plots: circles are objects, squares are tellurics, crosses are sky fibers. Colors give deviation of observed mag from expected 2MASS mag using the median zeropoint; red is brighter
Second spatial plots: circles are sky fibers. Colors give sky line brightness relative to plate median sky line brightness
FrameNreadsZeropointsMag plots Spatial mag deviation Spatial sky 16325A emission deviations (filled: sky, open: star) Spatial sky continuum emission Spatial sky telluric CO2 absorption deviations (filled: H < 10)
8400072 47
RedGreenBlue
z18.98
znorm14.80
sky 14.3 14.1 14.0
S/N 17.8 25.0 25.7
S/N(c) 20.0 17.2 12.2
SN(E/C) 0.94
8400073 47
RedGreenBlue
z19.03
znorm14.85
sky 14.3 14.2 14.1
S/N 17.9 25.1 26.2
S/N(c) 20.2 17.6 12.5
SN(E/C) 0.96