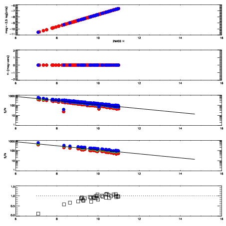
Left plots: red are targets, blue are telluric. Observed mags are calculated from median value of green chip. Zeropoint gives overall throughput: bigger number is more throughput.
First spatial plots: circles are objects, squares are tellurics, crosses are sky fibers. Colors give deviation of observed mag from expected 2MASS mag using the median zeropoint; red is brighter
Second spatial plots: circles are sky fibers. Colors give sky line brightness relative to plate median sky line brightness
FrameNreadsZeropointsMag plots Spatial mag deviation Spatial sky 16325A emission deviations (filled: sky, open: star) Spatial sky continuum emission Spatial sky telluric CO2 absorption deviations (filled: H < 10)
0 0
RedGreenBlue
z17.64
znorm Inf
sky -Inf -Inf -Inf
S/N 30.6 44.5 47.2
S/N(c) 0.0 0.0 0.0
SN(E/C) 0.92

IPAIRNAMESHIFTNEWSHIFTS/N NAMESHIFTNEWSHIFTS/N
0 08410083 0.500259 0.00000 18.8441 08410084 0.000803666 0.499455 18.8774
1 08410087 0.484704 0.0155550 18.9596 08410088 -0.0125353 0.512794 18.9343
2 08410086 0.484103 0.0161560 18.9209 08410085 0.000826146 0.499433 18.9146
3 08410082 0.499894 0.000364989 18.7947 08410081 0.00000 0.500259 18.7261