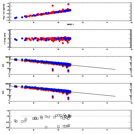
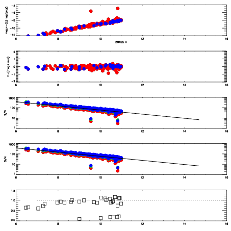
Left plots: red are targets, blue are telluric. Observed mags are calculated from median value of green chip. Zeropoint gives overall throughput: bigger number is more throughput.
First spatial plots: circles are objects, squares are tellurics, crosses are sky fibers. Colors give deviation of observed mag from expected 2MASS mag using the median zeropoint; red is brighter
Second spatial plots: circles are sky fibers. Colors give sky line brightness relative to plate median sky line brightness
FrameNreadsZeropointsMag plots Spatial mag deviation Spatial sky 16325A emission deviations (filled: sky, open: star) Spatial sky continuum emission Spatial sky telluric CO2 absorption deviations (filled: H < 10)
9720016 47
RedGreenBlue
z19.24
znorm15.06
sky 13.6 13.4 13.2
S/N 20.7 28.7 29.8
S/N(c) 28.4 16.5 13.9
SN(E/C) 0.83
9720017 47
RedGreenBlue
z19.20
znorm15.02
sky 13.7 13.5 13.3
S/N 19.9 28.4 29.3
S/N(c) 27.7 16.3 13.9
SN(E/C) 0.82
9720018 47
RedGreenBlue
z19.12
znorm14.94
sky 13.6 13.5 13.5
S/N 18.9 27.1 28.3
S/N(c) 26.4 15.6 13.5
SN(E/C) 0.84
9720019 47
RedGreenBlue
z18.96
znorm14.78
sky 13.7 13.5 13.4
S/N 17.2 25.1 25.9
S/N(c) 24.2 14.4 12.2
SN(E/C) 0.89