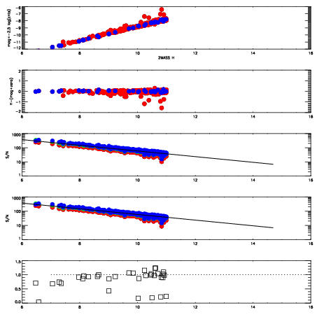
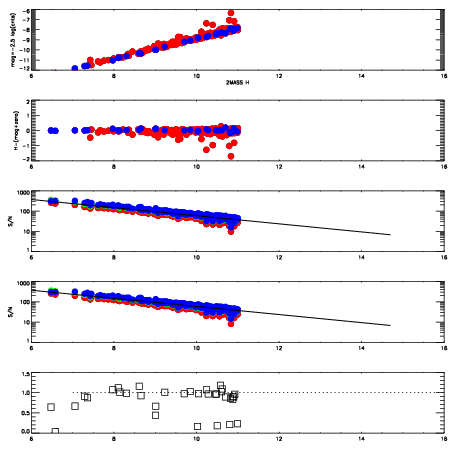
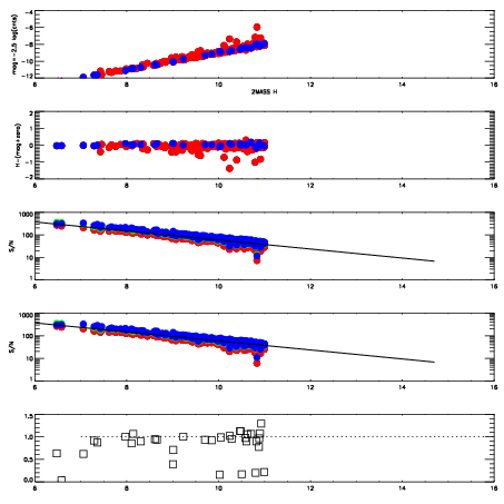
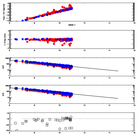
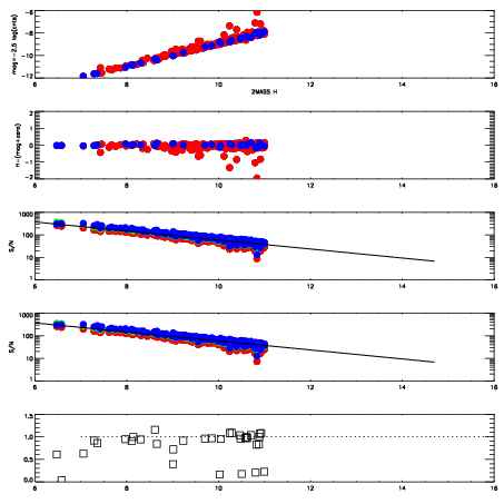
Left plots: red are targets, blue are telluric. Observed mags are calculated from median value of green chip. Zeropoint gives overall throughput: bigger number is more throughput.
First spatial plots: circles are objects, squares are tellurics, crosses are sky fibers. Colors give deviation of observed mag from expected 2MASS mag using the median zeropoint; red is brighter
Second spatial plots: circles are sky fibers. Colors give sky line brightness relative to plate median sky line brightness
FrameNreadsZeropointsMag plots Spatial mag deviation Spatial sky 16325A emission deviations (filled: sky, open: star) Spatial sky continuum emission Spatial sky telluric CO2 absorption deviations (filled: H < 10)
12090071 47
RedGreenBlue
z18.81
znorm14.63
sky 14.0 13.7 13.7
S/N 16.3 23.5 24.2
S/N(c) 22.2 26.2 15.3
SN(E/C) 0.89
12090072 47
RedGreenBlue
z18.83
znorm14.65
sky 14.1 13.8 13.8
S/N 16.7 24.1 24.6
S/N(c) 22.4 26.4 15.3
SN(E/C) 0.93
12090073 47
RedGreenBlue
z18.80
znorm14.62
sky 14.0 13.8 13.8
S/N 16.5 23.6 24.3
S/N(c) 21.9 25.7 15.2
SN(E/C) 0.93
12090074 47
RedGreenBlue
z18.88
znorm14.70
sky 14.0 13.8 13.8
S/N 17.1 24.3 25.2
S/N(c) 22.5 26.7 15.8
SN(E/C) 0.96
12090075 47
RedGreenBlue
z18.93
znorm14.75
sky 14.1 13.9 13.8
S/N 17.6 25.1 26.1
S/N(c) 23.6 27.2 16.2
SN(E/C) 0.94
12090076 47
RedGreenBlue
z18.98
znorm14.80
sky 14.0 13.9 13.8
S/N 18.1 25.7 26.6
S/N(c) 24.1 27.9 16.5
SN(E/C) 0.93