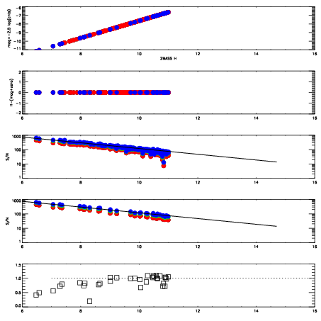
Left plots: red are targets, blue are telluric. Observed mags are calculated from median value of green chip. Zeropoint gives overall throughput: bigger number is more throughput.
First spatial plots: circles are objects, squares are tellurics, crosses are sky fibers. Colors give deviation of observed mag from expected 2MASS mag using the median zeropoint; red is brighter
Second spatial plots: circles are sky fibers. Colors give sky line brightness relative to plate median sky line brightness
FrameNreadsZeropointsMag plots Spatial mag deviation Spatial sky 16325A emission deviations (filled: sky, open: star) Spatial sky continuum emission Spatial sky telluric CO2 absorption deviations (filled: H < 10)
0 0
RedGreenBlue
z17.64
znorm Inf
sky -Inf -Inf -Inf
S/N 24.7 35.8 38.0
S/N(c) 0.0 0.0 0.0
SN(E/C) 0.89

IPAIRNAMESHIFTNEWSHIFTS/N NAMESHIFTNEWSHIFTS/N
0 12330046 0.494114 0.00000 17.8180 12330044 0.00000 0.494114 17.9156
1 12330049 0.489713 0.00440100 18.9628 12330048 -0.00408011 0.498194 18.9913
2 12330050 0.491820 0.00229400 18.5352 12330047 -0.00354849 0.497663 18.9715
3 12330045 0.492278 0.00183600 18.3114 12330051 0.000979177 0.493135 18.7261