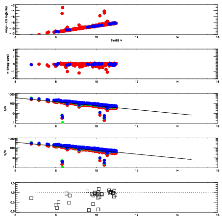
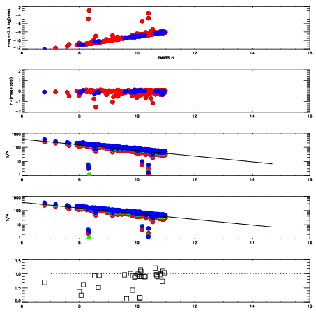
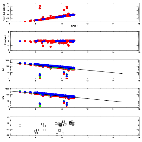
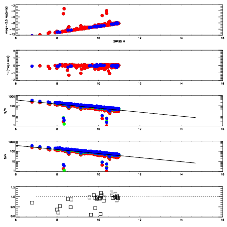
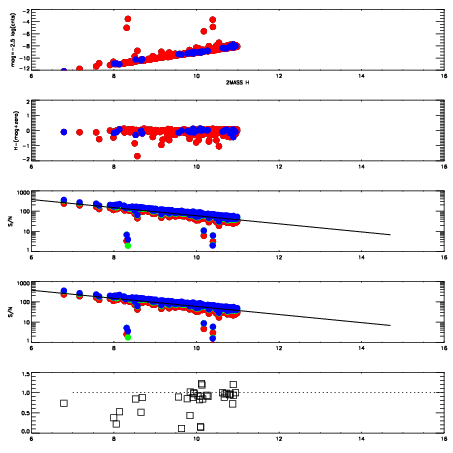
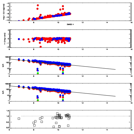
Frame | Nreads | Zeropoints | Mag plots
| Spatial mag deviation
| Spatial sky 16325A emission deviations (filled: sky, open: star)
| Spatial sky continuum emission
| Spatial sky telluric CO2 absorption deviations (filled: H < 10)
|
4600080
| 47
| | Red | Green | Blue
| z | | 19.11
| znorm | | 14.93
| sky | 14.0 | 13.8 | 13.8
| S/N | 18.7 | 25.7 | 28.0
| S/N(c) | 25.7 | 24.3 | 22.4
| SN(E/C) | 0.88
|
|
|
|
|
|
|
4600081
| 47
| | Red | Green | Blue
| z | | 19.05
| znorm | | 14.87
| sky | 14.2 | 13.9 | 14.1
| S/N | 18.1 | 25.7 | 27.7
| S/N(c) | 24.6 | 23.5 | 21.8
| SN(E/C) | 0.90
|
|
|
|
|
|
|
4600082
| 47
| | Red | Green | Blue
| z | | 19.06
| znorm | | 14.88
| sky | 14.3 | 14.0 | 14.1
| S/N | 18.2 | 25.8 | 28.2
| S/N(c) | 24.6 | 23.7 | 21.9
| SN(E/C) | 0.89
|
|
|
|
|
|
|
4600083
| 47
| | Red | Green | Blue
| z | | 19.00
| znorm | | 14.82
| sky | 14.1 | 14.0 | 14.1
| S/N | 17.5 | 25.2 | 27.4
| S/N(c) | 23.9 | 22.9 | 21.4
| SN(E/C) | 0.92
|
|
|
|
|
|
|
4600084
| 47
| | Red | Green | Blue
| z | | 19.05
| znorm | | 14.87
| sky | 14.2 | 14.1 | 14.1
| S/N | 18.2 | 25.9 | 28.3
| S/N(c) | 24.7 | 23.6 | 22.0
| SN(E/C) | 0.92
|
|
|
|
|
|
|
4600085
| 47
| | Red | Green | Blue
| z | | 19.09
| znorm | | 14.91
| sky | 14.2 | 14.2 | 14.2
| S/N | 18.5 | 26.4 | 29.0
| S/N(c) | 25.1 | 24.0 | 22.6
| SN(E/C) | 0.93
|
|
|
|
|
|
|
4600086
| 47
| | Red | Green | Blue
| z | | 19.17
| znorm | | 14.99
| sky | 14.2 | 14.2 | 14.1
| S/N | 19.5 | 28.0 | 30.3
| S/N(c) | 26.1 | 24.9 | 23.7
| SN(E/C) | 0.90
|
|
|
|
|
|
|
4600087
| 47
| | Red | Green | Blue
| z | | 19.19
| znorm | | 15.01
| sky | 14.2 | 14.2 | 14.1
| S/N | 19.8 | 28.0 | 30.8
| S/N(c) | 26.5 | 25.2 | 24.0
| SN(E/C) | 0.92
|
|
|
|
|
|
|