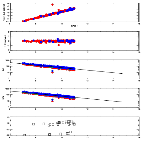
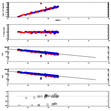
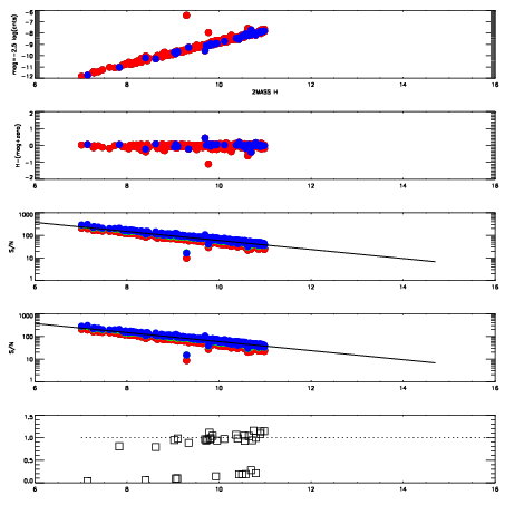
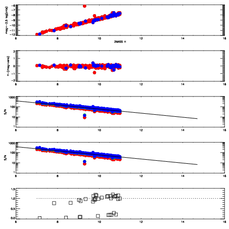
Left plots: red are targets, blue are telluric. Observed mags are calculated from median value of green chip. Zeropoint gives overall throughput: bigger number is more throughput.
First spatial plots: circles are objects, squares are tellurics, crosses are sky fibers. Colors give deviation of observed mag from expected 2MASS mag using the median zeropoint; red is brighter
Second spatial plots: circles are sky fibers. Colors give sky line brightness relative to plate median sky line brightness
FrameNreadsZeropointsMag plots Spatial mag deviation Spatial sky 16325A emission deviations (filled: sky, open: star) Spatial sky continuum emission Spatial sky telluric CO2 absorption deviations (filled: H < 10)
4750032 47
RedGreenBlue
z18.78
znorm14.60
sky 14.4 14.3 14.4
S/N 16.5 23.4 23.9
S/N(c) 19.7 26.2 5.9
SN(E/C) 0.97
4750033 47
RedGreenBlue
z18.80
znorm14.62
sky 14.5 14.4 14.8
S/N 16.1 23.5 24.4
S/N(c) 19.9 26.4 5.9
SN(E/C) 0.93
4750034 47
RedGreenBlue
z18.81
znorm14.63
sky 14.4 14.5 14.8
S/N 16.3 23.6 24.6
S/N(c) 20.0 26.9 6.0
SN(E/C) 0.95
4750035 47
RedGreenBlue
z18.78
znorm14.60
sky 14.5 14.5 14.7
S/N 15.9 23.1 24.0
S/N(c) 19.5 26.6 5.9
SN(E/C) 0.96