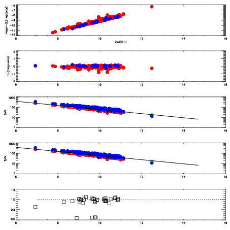
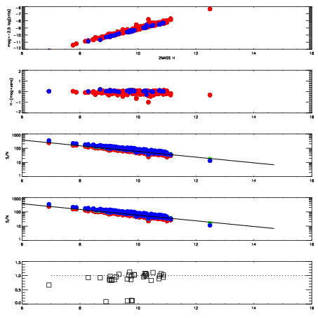
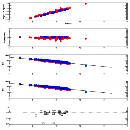
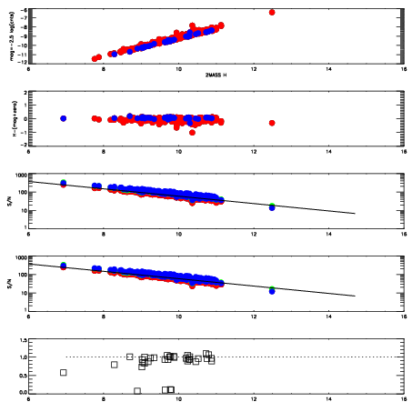
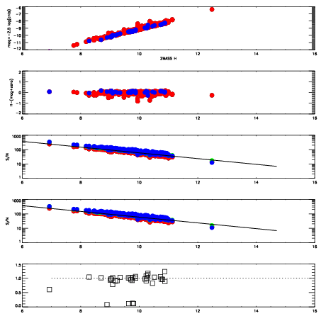
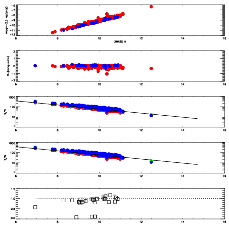
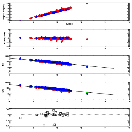
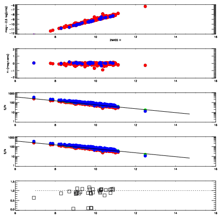
Frame | Nreads | Zeropoints | Mag plots
| Spatial mag deviation
| Spatial sky 16325A emission deviations (filled: sky, open: star)
| Spatial sky continuum emission
| Spatial sky telluric CO2 absorption deviations (filled: H < 10)
|
5230058
| 47
| | Red | Green | Blue
| z | | 19.19
| znorm | | 15.01
| sky | 13.9 | 13.6 | 13.8
| S/N | 19.9 | 26.5 | 27.2
| S/N(c) | 26.3 | 12.8 | 26.5
| SN(E/C) | 0.93
|
|
|
|
|
|
|
5230059
| 47
| | Red | Green | Blue
| z | | 19.20
| znorm | | 15.02
| sky | 13.8 | 13.7 | 13.9
| S/N | 20.0 | 26.9 | 27.8
| S/N(c) | 26.4 | 13.0 | 27.1
| SN(E/C) | 0.94
|
|
|
|
|
|
|
5230060
| 47
| | Red | Green | Blue
| z | | 19.14
| znorm | | 14.96
| sky | 13.8 | 13.7 | 13.9
| S/N | 19.1 | 25.8 | 27.3
| S/N(c) | 25.5 | 12.6 | 26.1
| SN(E/C) | 0.96
|
|
|
|
|
|
|
5230061
| 47
| | Red | Green | Blue
| z | | 19.02
| znorm | | 14.84
| sky | 13.8 | 13.8 | 13.9
| S/N | 17.7 | 24.2 | 25.6
| S/N(c) | 23.7 | 11.9 | 24.5
| SN(E/C) | 0.98
|
|
|
|
|
|
|
5230062
| 47
| | Red | Green | Blue
| z | | 19.12
| znorm | | 14.94
| sky | 13.8 | 13.8 | 13.9
| S/N | 19.0 | 25.9 | 27.1
| S/N(c) | 25.2 | 12.6 | 26.3
| SN(E/C) | 0.92
|
|
|
|
|
|
|
5230063
| 47
| | Red | Green | Blue
| z | | 19.08
| znorm | | 14.90
| sky | 13.8 | 13.7 | 13.8
| S/N | 18.6 | 25.0 | 26.8
| S/N(c) | 24.6 | 12.3 | 25.8
| SN(E/C) | 0.97
|
|
|
|
|
|
|
5230064
| 47
| | Red | Green | Blue
| z | | 19.13
| znorm | | 14.95
| sky | 13.8 | 13.8 | 13.9
| S/N | 18.9 | 25.6 | 27.6
| S/N(c) | 25.0 | 12.6 | 26.4
| SN(E/C) | 0.96
|
|
|
|
|
|
|
5230065
| 47
| | Red | Green | Blue
| z | | 19.12
| znorm | | 14.94
| sky | 13.8 | 13.8 | 13.8
| S/N | 18.7 | 25.7 | 27.8
| S/N(c) | 24.8 | 12.6 | 26.4
| SN(E/C) | 0.97
|
|
|
|
|
|
|