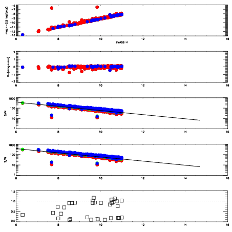
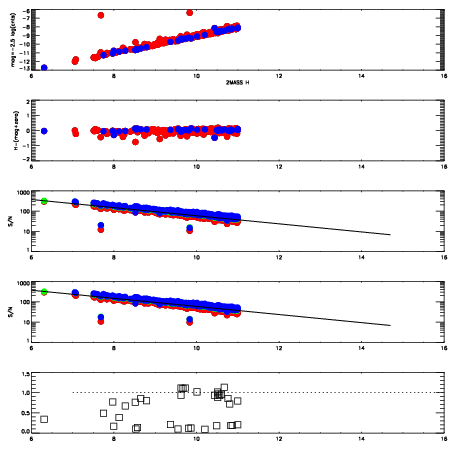
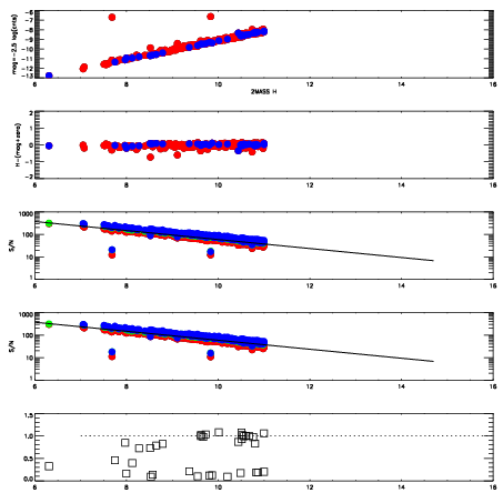
Left plots: red are targets, blue are telluric. Observed mags are calculated from median value of green chip. Zeropoint gives overall throughput: bigger number is more throughput.
First spatial plots: circles are objects, squares are tellurics, crosses are sky fibers. Colors give deviation of observed mag from expected 2MASS mag using the median zeropoint; red is brighter
Second spatial plots: circles are sky fibers. Colors give sky line brightness relative to plate median sky line brightness
FrameNreadsZeropointsMag plots Spatial mag deviation Spatial sky 16325A emission deviations (filled: sky, open: star) Spatial sky continuum emission Spatial sky telluric CO2 absorption deviations (filled: H < 10)
4790010 47
RedGreenBlue
z19.06
znorm14.88
sky 14.3 14.2 14.1
S/N 19.3 27.0 28.3
S/N(c) 27.0 28.6 19.0
SN(E/C) 0.76
4790011 47
RedGreenBlue
z19.10
znorm14.92
sky 14.4 14.3 14.3
S/N 19.6 27.2 28.8
S/N(c) 27.3 29.1 19.4
SN(E/C) 0.76
4790012 47
RedGreenBlue
z19.11
znorm14.93
sky 14.2 14.3 14.3
S/N 19.6 27.3 28.8
S/N(c) 27.3 29.4 19.4
SN(E/C) 0.80
4790013 47
RedGreenBlue
z19.12
znorm14.94
sky 14.3 14.2 14.4
S/N 19.8 27.4 29.1
S/N(c) 27.5 29.5 19.7
SN(E/C) 0.78
4790014 47
RedGreenBlue
z19.13
znorm14.95
sky 14.4 14.3 14.3
S/N 19.8 27.6 29.1
S/N(c) 27.5 29.8 20.0
SN(E/C) 0.79
4790015 47
RedGreenBlue
z19.12
znorm14.94
sky 14.2 14.2 14.2
S/N 19.5 27.4 28.9
S/N(c) 27.5 29.5 19.9
SN(E/C) 0.81