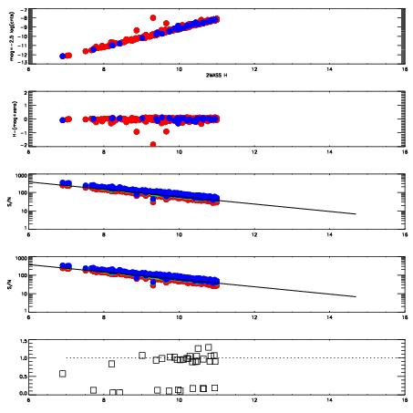
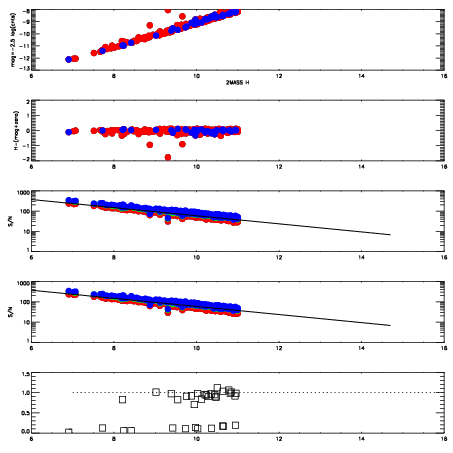
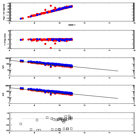
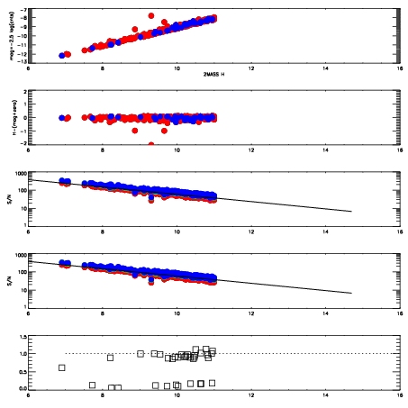
Left plots: red are targets, blue are telluric. Observed mags are calculated from median value of green chip. Zeropoint gives overall throughput: bigger number is more throughput.
First spatial plots: circles are objects, squares are tellurics, crosses are sky fibers. Colors give deviation of observed mag from expected 2MASS mag using the median zeropoint; red is brighter
Second spatial plots: circles are sky fibers. Colors give sky line brightness relative to plate median sky line brightness
FrameNreadsZeropointsMag plots Spatial mag deviation Spatial sky 16325A emission deviations (filled: sky, open: star) Spatial sky continuum emission Spatial sky telluric CO2 absorption deviations (filled: H < 10)
4830010 47
RedGreenBlue
z19.11
znorm14.93
sky 14.2 14.1 14.1
S/N 19.9 27.1 28.1
S/N(c) 23.6 19.2 11.4
SN(E/C) 0.89
4830011 47
RedGreenBlue
z19.13
znorm14.95
sky 14.2 14.2 14.3
S/N 19.7 27.2 28.7
S/N(c) 23.6 19.3 11.6
SN(E/C) 0.90
4830012 47
RedGreenBlue
z19.12
znorm14.94
sky 14.1 14.2 14.3
S/N 19.6 27.0 28.8
S/N(c) 23.5 19.2 11.6
SN(E/C) 0.89
4830013 47
RedGreenBlue
z19.15
znorm14.97
sky 14.0 14.1 14.2
S/N 19.8 27.6 29.4
S/N(c) 24.1 19.4 11.7
SN(E/C) 0.91