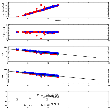
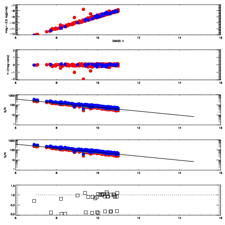
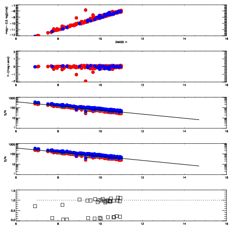
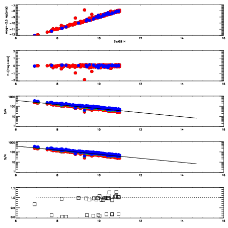
Left plots: red are targets, blue are telluric. Observed mags are calculated from median value of green chip. Zeropoint gives overall throughput: bigger number is more throughput.
First spatial plots: circles are objects, squares are tellurics, crosses are sky fibers. Colors give deviation of observed mag from expected 2MASS mag using the median zeropoint; red is brighter
Second spatial plots: circles are sky fibers. Colors give sky line brightness relative to plate median sky line brightness
FrameNreadsZeropointsMag plots Spatial mag deviation Spatial sky 16325A emission deviations (filled: sky, open: star) Spatial sky continuum emission Spatial sky telluric CO2 absorption deviations (filled: H < 10)
4840010 47
RedGreenBlue
z18.99
znorm14.81
sky 14.4 14.4 14.1
S/N 18.7 25.6 26.7
S/N(c) 22.2 18.1 10.8
SN(E/C) 0.90
4840011 47
RedGreenBlue
z19.02
znorm14.84
sky 14.1 14.3 14.5
S/N 18.7 25.6 27.4
S/N(c) 22.4 18.4 11.1
SN(E/C) 0.94
4840012 47
RedGreenBlue
z18.99
znorm14.81
sky 14.3 14.3 14.4
S/N 18.2 25.5 26.9
S/N(c) 22.3 18.1 10.9
SN(E/C) 0.94
4840013 47
RedGreenBlue
z18.98
znorm14.80
sky 14.4 14.4 14.4
S/N 18.2 25.6 27.2
S/N(c) 22.2 17.9 11.0
SN(E/C) 0.94