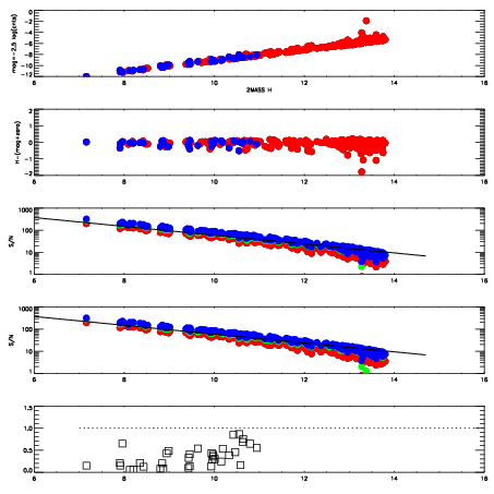
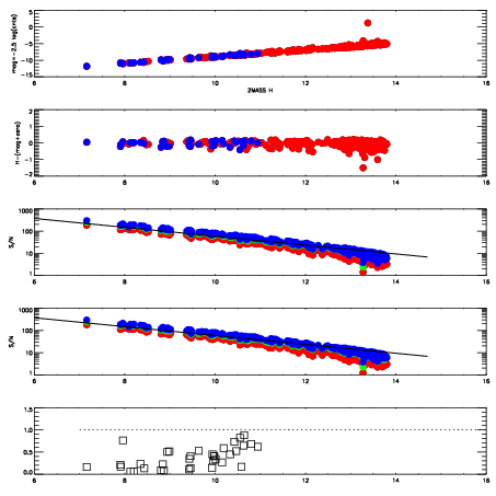
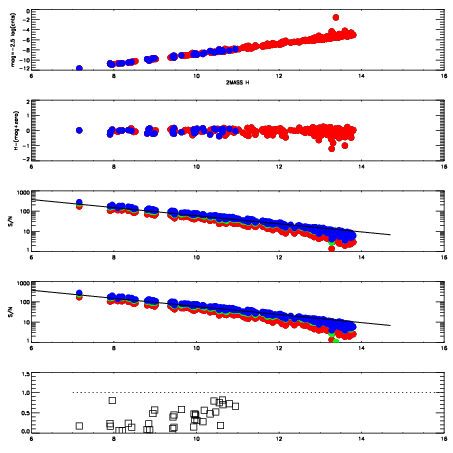
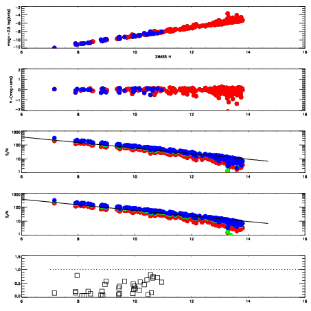
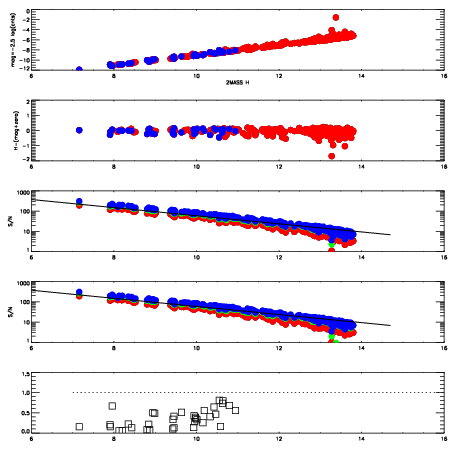
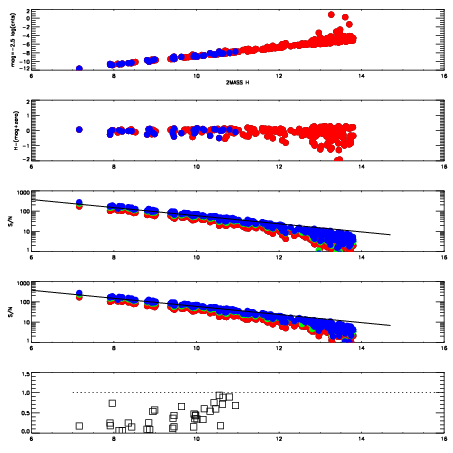
Frame | Nreads | Zeropoints | Mag plots
| Spatial mag deviation
| Spatial sky 16325A emission deviations (filled: sky, open: star)
| Spatial sky continuum emission
| Spatial sky telluric CO2 absorption deviations (filled: H < 10)
|
4910047
| 47
| | Red | Green | Blue
| z | | 18.75
| znorm | | 14.57
| sky | 12.4 | 12.3 | 12.3
| S/N | 10.0 | 16.3 | 17.2
| S/N(c) | 0.1 | 27.0 | 39.8
| SN(E/C) | 0.37
|
|
|
|
|
|
|
4910048
| 47
| | Red | Green | Blue
| z | | 18.93
| znorm | | 14.75
| sky | 13.0 | 12.9 | 12.9
| S/N | 12.7 | 20.1 | 20.8
| S/N(c) | 0.1 | 30.9 | 45.6
| SN(E/C) | 0.37
|
|
|
|
|
|
|
4910049
| 47
| | Red | Green | Blue
| z | | 19.12
| znorm | | 14.94
| sky | 14.0 | 13.9 | 13.8
| S/N | 15.1 | 24.3 | 26.0
| S/N(c) | 0.1 | 34.7 | 51.7
| SN(E/C) | 0.32
|
|
|
|
|
|
|
4910050
| 47
| | Red | Green | Blue
| z | | 19.08
| znorm | | 14.90
| sky | 13.5 | 13.4 | 13.4
| S/N | 14.5 | 23.3 | 24.6
| S/N(c) | 0.1 | 33.8 | 50.3
| SN(E/C) | 0.30
|
|
|
|
|
|
|
4910051
| 47
| | Red | Green | Blue
| z | | 19.06
| znorm | | 14.88
| sky | 13.7 | 13.6 | 13.5
| S/N | 14.2 | 23.3 | 24.3
| S/N(c) | 0.1 | 33.7 | 50.7
| SN(E/C) | 0.32
|
|
|
|
|
|
|
4910052
| 47
| | Red | Green | Blue
| z | | 19.05
| znorm | | 14.87
| sky | 13.9 | 13.8 | 13.8
| S/N | 14.3 | 23.6 | 25.4
| S/N(c) | 0.1 | 33.2 | 50.8
| SN(E/C) | 0.34
|
|
|
|
|
|
|
4910053
| 47
| | Red | Green | Blue
| z | | 18.81
| znorm | | 14.63
| sky | 13.9 | 13.9 | 13.8
| S/N | 12.3 | 21.0 | 22.0
| S/N(c) | 0.1 | 29.6 | 45.2
| SN(E/C) | 0.40
|
|
|
|
|
|
|
4910054
| 47
| | Red | Green | Blue
| z | | 18.94
| znorm | | 14.76
| sky | 13.9 | 13.8 | 13.8
| S/N | 13.2 | 22.3 | 23.4
| S/N(c) | 0.1 | 31.6 | 48.6
| SN(E/C) | 0.35
|
|
|
|
|
|
|