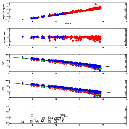
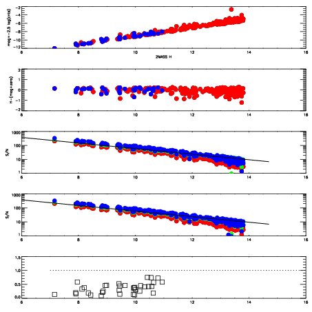
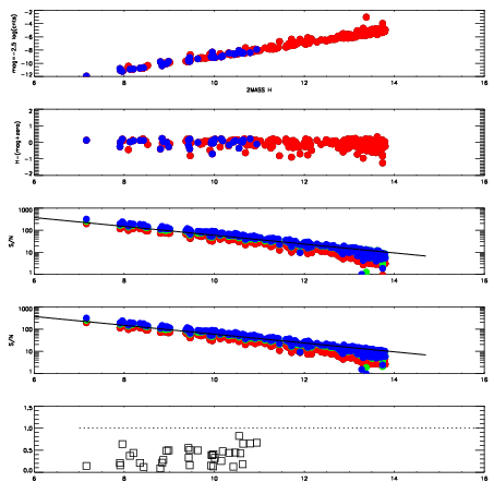
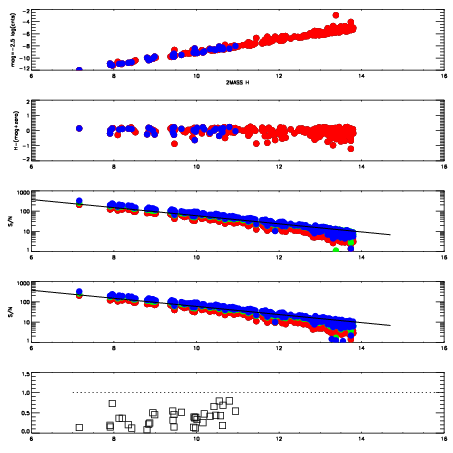
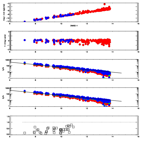
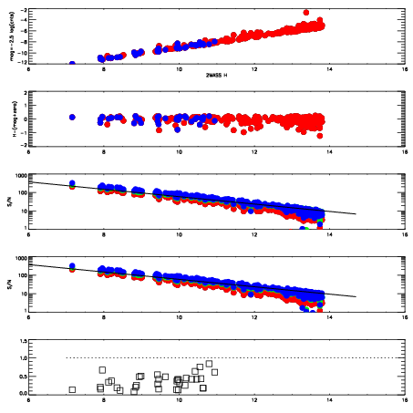
Frame | Nreads | Zeropoints | Mag plots
| Spatial mag deviation
| Spatial sky 16325A emission deviations (filled: sky, open: star)
| Spatial sky continuum emission
| Spatial sky telluric CO2 absorption deviations (filled: H < 10)
|
5440011
| 47
| | Red | Green | Blue
| z | | 18.94
| znorm | | 14.76
| sky | 14.0 | 13.9 | 13.7
| S/N | 13.9 | 22.7 | 23.0
| S/N(c) | 33.5 | 42.8 | 19.5
| SN(E/C) | 0.38
|
|
|
|
|
|
|
5440012
| 47
| | Red | Green | Blue
| z | | 18.97
| znorm | | 14.79
| sky | 14.2 | 14.1 | 14.1
| S/N | 13.6 | 22.8 | 23.7
| S/N(c) | 33.3 | 42.8 | 19.6
| SN(E/C) | 0.40
|
|
|
|
|
|
|
5440013
| 47
| | Red | Green | Blue
| z | | 18.97
| znorm | | 14.79
| sky | 14.3 | 14.3 | 14.3
| S/N | 13.9 | 22.9 | 24.2
| S/N(c) | 33.3 | 43.5 | 20.0
| SN(E/C) | 0.38
|
|
|
|
|
|
|
5440014
| 47
| | Red | Green | Blue
| z | | 19.02
| znorm | | 14.84
| sky | 14.3 | 14.3 | 14.1
| S/N | 14.1 | 23.5 | 24.8
| S/N(c) | 33.8 | 43.4 | 20.5
| SN(E/C) | 0.37
|
|
|
|
|
|
|
5440015
| 47
| | Red | Green | Blue
| z | | 19.01
| znorm | | 14.83
| sky | 14.2 | 14.3 | 14.2
| S/N | 13.9 | 23.5 | 24.4
| S/N(c) | 33.5 | 43.4 | 20.3
| SN(E/C) | 0.38
|
|
|
|
|
|
|
5440016
| 47
| | Red | Green | Blue
| z | | 19.02
| znorm | | 14.84
| sky | 14.2 | 14.3 | 14.2
| S/N | 14.3 | 23.8 | 24.8
| S/N(c) | 33.7 | 44.0 | 20.6
| SN(E/C) | 0.38
|
|
|
|
|
|
|
5440017
| 47
| | Red | Green | Blue
| z | | 19.02
| znorm | | 14.84
| sky | 14.2 | 14.3 | 14.2
| S/N | 13.7 | 23.6 | 24.4
| S/N(c) | 34.1 | 43.7 | 20.7
| SN(E/C) | 0.37
|
|
|
|
|
|
|
5440018
| 47
| | Red | Green | Blue
| z | | 19.01
| znorm | | 14.83
| sky | 14.4 | 14.3 | 14.2
| S/N | 14.3 | 23.5 | 24.5
| S/N(c) | 33.9 | 43.9 | 20.8
| SN(E/C) | 0.37
|
|
|
|
|
|
|