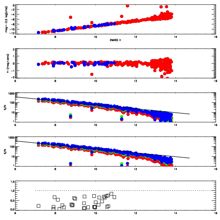
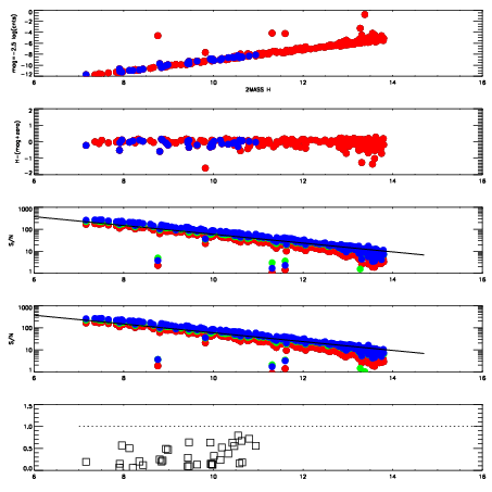
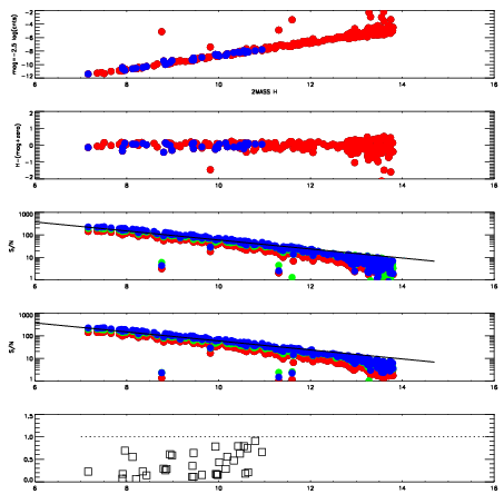
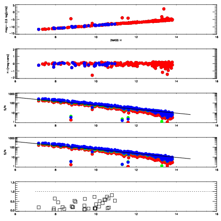
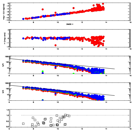
Frame | Nreads | Zeropoints | Mag plots
| Spatial mag deviation
| Spatial sky 16325A emission deviations (filled: sky, open: star)
| Spatial sky continuum emission
| Spatial sky telluric CO2 absorption deviations (filled: H < 10)
|
4920047
| 47
| | Red | Green | Blue
| z | | 19.05
| znorm | | 14.87
| sky | 14.3 | 14.0 | 13.9
| S/N | 15.4 | 24.9 | 26.4
| S/N(c) | 14.1 | 44.5 | 61.1
| SN(E/C) | 0.24
|
|
|
|
|
|
|
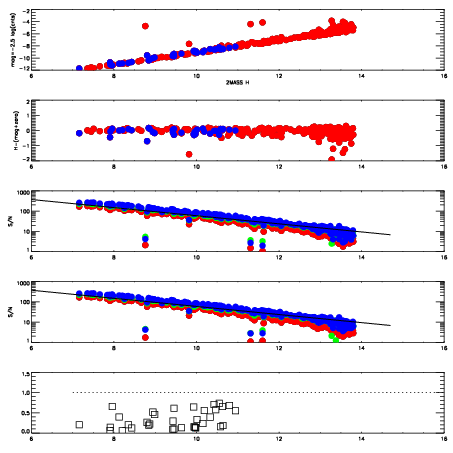
4920048
| 47
| | Red | Green | Blue
| z | | 19.10
| znorm | | 14.92
| sky | 14.4 | 14.1 | 14.1
| S/N | 15.2 | 25.9 | 27.2
| S/N(c) | 14.1 | 44.9 | 62.4
| SN(E/C) | 0.23
|
|
|
|
|
|
|
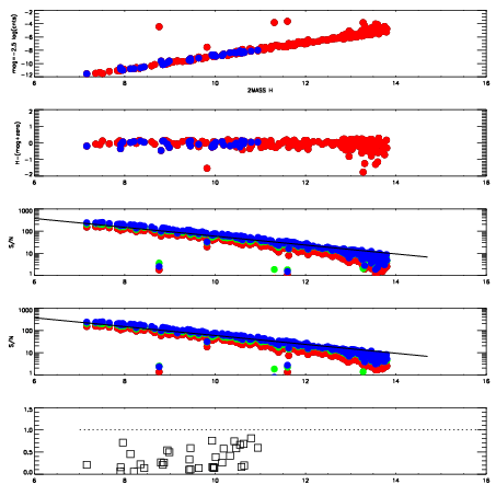
4920049
| 47
| | Red | Green | Blue
| z | | 19.10
| znorm | | 14.92
| sky | 14.3 | 14.2 | 14.1
| S/N | 15.8 | 26.1 | 27.3
| S/N(c) | 14.1 | 45.0 | 62.6
| SN(E/C) | 0.23
|
|
|
|
|
|
|
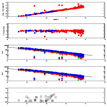
4920050
| 47
| | Red | Green | Blue
| z | | 19.05
| znorm | | 14.87
| sky | 14.2 | 14.1 | 14.0
| S/N | 15.6 | 25.7 | 26.9
| S/N(c) | 13.6 | 43.6 | 61.0
| SN(E/C) | 0.23
|
|
|
|
|
|
|
4920051
| 47
| | Red | Green | Blue
| z | | 18.65
| znorm | | 14.47
| sky | 12.7 | 12.6 | 12.5
| S/N | 10.6 | 17.4 | 17.5
| S/N(c) | 10.7 | 33.8 | 48.0
| SN(E/C) | 0.29
|
|
|
|
|
|
|
4920052
| 47
| | Red | Green | Blue
| z | | 18.68
| znorm | | 14.50
| sky | 13.0 | 12.9 | 12.8
| S/N | 11.1 | 18.6 | 18.6
| S/N(c) | 11.1 | 35.1 | 49.9
| SN(E/C) | 0.28
|
|
|
|
|
|
|
4920053
| 47
| | Red | Green | Blue
| z | | 18.88
| znorm | | 14.70
| sky | 13.2 | 13.2 | 13.1
| S/N | 12.7 | 21.3 | 22.7
| S/N(c) | 12.4 | 39.2 | 55.2
| SN(E/C) | 0.26
|
|
|
|
|
|
|
4920054
| 47
| | Red | Green | Blue
| z | | 18.05
| znorm | | 13.87
| sky | 12.1 | 12.1 | 12.0
| S/N | 5.5 | 9.5 | 9.3
| S/N(c) | 7.0 | 23.4 | 34.4
| SN(E/C) | 0.39
|
|
|
|
|
|
|