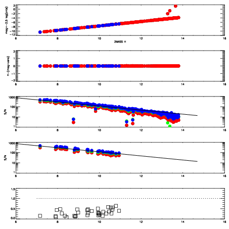
Left plots: red are targets, blue are telluric. Observed mags are calculated from median value of green chip. Zeropoint gives overall throughput: bigger number is more throughput.
First spatial plots: circles are objects, squares are tellurics, crosses are sky fibers. Colors give deviation of observed mag from expected 2MASS mag using the median zeropoint; red is brighter
Second spatial plots: circles are sky fibers. Colors give sky line brightness relative to plate median sky line brightness
FrameNreadsZeropointsMag plots Spatial mag deviation Spatial sky 16325A emission deviations (filled: sky, open: star) Spatial sky continuum emission Spatial sky telluric CO2 absorption deviations (filled: H < 10)
0 0
RedGreenBlue
z17.64
znorm Inf
sky -Inf -Inf -Inf
S/N 23.1 39.5 42.2
S/N(c) 0.0 0.0 0.0
SN(E/C) 0.28

IPAIRNAMESHIFTNEWSHIFTS/N NAMESHIFTNEWSHIFTS/N
0 04920053 0.495884 0.00000 18.8939 04920051 0.00502424 0.490860 18.6771
1 04920049 0.493803 0.00208101 19.1081 04920047 0.00000 0.495884 19.0698
2 04920048 0.492117 0.00376701 19.1017 04920050 0.00547926 0.490405 19.0550
3 04920052 0.493933 0.00195101 18.7318 04920054 0.00494547 0.490939 18.0489