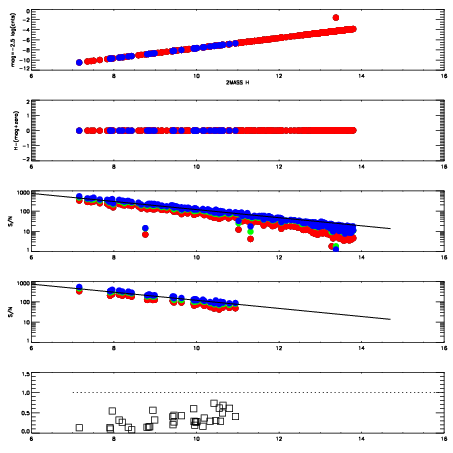
Left plots: red are targets, blue are telluric. Observed mags are calculated from median value of green chip. Zeropoint gives overall throughput: bigger number is more throughput.
First spatial plots: circles are objects, squares are tellurics, crosses are sky fibers. Colors give deviation of observed mag from expected 2MASS mag using the median zeropoint; red is brighter
Second spatial plots: circles are sky fibers. Colors give sky line brightness relative to plate median sky line brightness
FrameNreadsZeropointsMag plots Spatial mag deviation Spatial sky 16325A emission deviations (filled: sky, open: star) Spatial sky continuum emission Spatial sky telluric CO2 absorption deviations (filled: H < 10)
0 0
RedGreenBlue
z17.64
znorm Inf
sky -Inf -Inf -Inf
S/N 22.1 39.9 42.1
S/N(c) 0.0 0.0 0.0
SN(E/C) 0.29

IPAIRNAMESHIFTNEWSHIFTS/N NAMESHIFTNEWSHIFTS/N
0 07830099 0.471142 0.00000 18.7167 07830097 -0.00523339 0.476375 18.7093
1 07830098 0.470876 0.000265986 18.7314 07830100 -0.00533209 0.476474 18.7983
2 07830095 0.471048 9.39965e-05 18.6051 07830096 0.000652971 0.470489 18.5676
3 07830094 0.470897 0.000245005 18.4764 07830093 0.00000 0.471142 18.2666