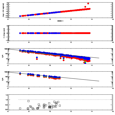
Left plots: red are targets, blue are telluric. Observed mags are calculated from median value of green chip. Zeropoint gives overall throughput: bigger number is more throughput.
First spatial plots: circles are objects, squares are tellurics, crosses are sky fibers. Colors give deviation of observed mag from expected 2MASS mag using the median zeropoint; red is brighter
Second spatial plots: circles are sky fibers. Colors give sky line brightness relative to plate median sky line brightness
FrameNreadsZeropointsMag plots Spatial mag deviation Spatial sky 16325A emission deviations (filled: sky, open: star) Spatial sky continuum emission Spatial sky telluric CO2 absorption deviations (filled: H < 10)
0 0
RedGreenBlue
z17.65
znorm Inf
sky -Inf -Inf -Inf
S/N 18.5 34.6 36.5
S/N(c) 0.0 0.0 0.0
SN(E/C) 0.32

IPAIRNAMESHIFTNEWSHIFTS/N NAMESHIFTNEWSHIFTS/N
0 07840073 0.475632 0.00000 18.5396 07840075 -0.00300576 0.478638 18.4862
1 07840077 0.475071 0.000560999 18.4652 07840078 -0.00187027 0.477502 18.4334
2 07840076 0.473240 0.00239202 18.4214 07840074 -0.00200097 0.477633 18.4280
3 07840072 0.475197 0.000435024 18.2353 07840071 0.00000 0.475632 18.3083