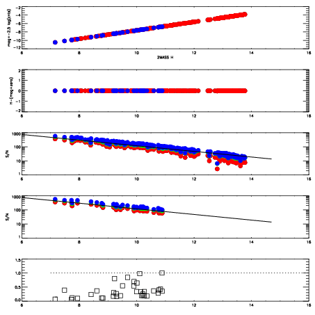
Left plots: red are targets, blue are telluric. Observed mags are calculated from median value of green chip. Zeropoint gives overall throughput: bigger number is more throughput.
First spatial plots: circles are objects, squares are tellurics, crosses are sky fibers. Colors give deviation of observed mag from expected 2MASS mag using the median zeropoint; red is brighter
Second spatial plots: circles are sky fibers. Colors give sky line brightness relative to plate median sky line brightness
FrameNreadsZeropointsMag plots Spatial mag deviation Spatial sky 16325A emission deviations (filled: sky, open: star) Spatial sky continuum emission Spatial sky telluric CO2 absorption deviations (filled: H < 10)
0 0
RedGreenBlue
z17.63
znorm Inf
sky -NaN -NaN -Inf
S/N 24.9 44.5 49.4
S/N(c) 0.0 0.0 0.0
SN(E/C) 0.30

IPAIRNAMESHIFTNEWSHIFTS/N NAMESHIFTNEWSHIFTS/N
0 04650049 0.495871 0.00000 19.1255 04650050 0.000242671 0.495628 19.1322
1 04650052 0.492867 0.00300401 19.1788 04650051 -0.00751045 0.503381 19.1650
2 04650053 0.495191 0.000680000 19.1300 04650054 0.00375428 0.492117 19.1362
3 04650048 0.494591 0.00128001 19.1166 04650047 0.00000 0.495871 19.1043