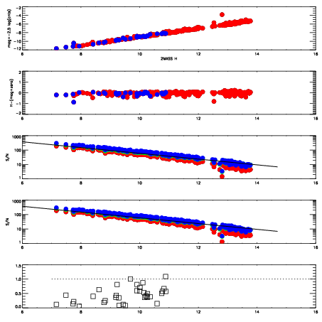
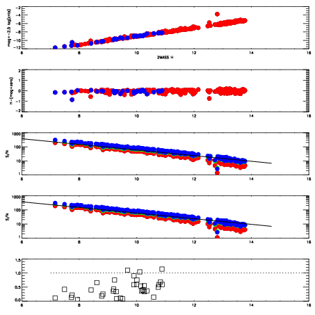
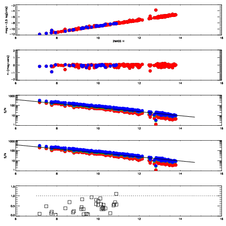
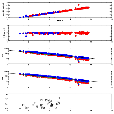
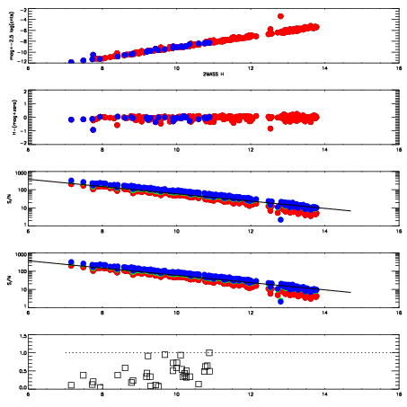
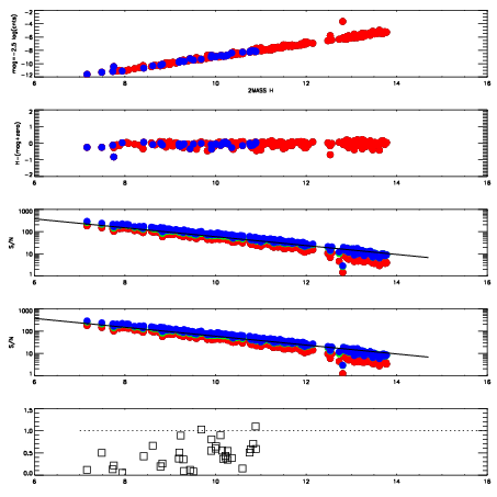
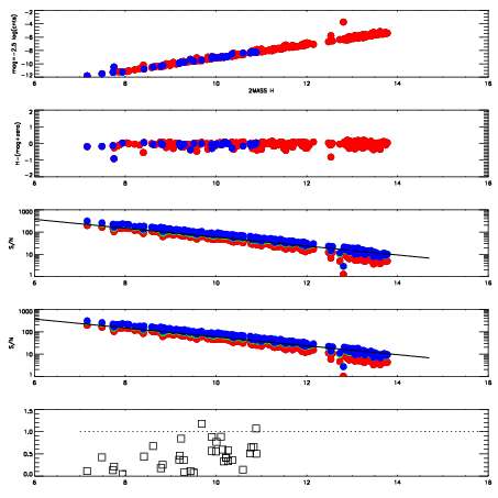
Frame | Nreads | Zeropoints | Mag plots
| Spatial mag deviation
| Spatial sky 16325A emission deviations (filled: sky, open: star)
| Spatial sky continuum emission
| Spatial sky telluric CO2 absorption deviations (filled: H < 10)
|
4900069
| 47
| | Red | Green | Blue
| z | | 19.01
| znorm | | 14.83
| sky | 14.5 | 14.4 | 14.4
| S/N | 14.2 | 23.7 | 25.4
| S/N(c) | 13.8 | 16.3 | 13.3
| SN(E/C) | 0.43
|
|
|
|
|
|
|
4900070
| 47
| | Red | Green | Blue
| z | | 19.05
| znorm | | 14.87
| sky | 14.6 | 14.5 | 14.6
| S/N | 14.4 | 23.8 | 25.9
| S/N(c) | 14.3 | 16.8 | 13.5
| SN(E/C) | 0.42
|
|
|
|
|
|
|
4900071
| 47
| | Red | Green | Blue
| z | | 19.14
| znorm | | 14.96
| sky | 14.9 | 14.7 | 14.7
| S/N | 15.2 | 25.2 | 27.3
| S/N(c) | 15.0 | 17.6 | 14.2
| SN(E/C) | 0.42
|
|
|
|
|
|
|
4900072
| 47
| | Red | Green | Blue
| z | | 19.16
| znorm | | 14.98
| sky | 14.5 | 14.7 | 14.9
| S/N | 15.5 | 25.7 | 27.8
| S/N(c) | 15.0 | 17.6 | 14.3
| SN(E/C) | 0.38
|
|
|
|
|
|
|
4900073
| 47
| | Red | Green | Blue
| z | | 19.13
| znorm | | 14.95
| sky | 14.8 | 14.7 | 14.8
| S/N | 15.4 | 25.7 | 27.9
| S/N(c) | 14.8 | 17.2 | 14.2
| SN(E/C) | 0.39
|
|
|
|
|
|
|
4900074
| 47
| | Red | Green | Blue
| z | | 19.09
| znorm | | 14.91
| sky | 14.7 | 14.8 | 14.9
| S/N | 14.4 | 24.3 | 26.5
| S/N(c) | 14.4 | 16.8 | 13.9
| SN(E/C) | 0.42
|
|
|
|
|
|
|
4900075
| 47
| | Red | Green | Blue
| z | | 19.07
| znorm | | 14.89
| sky | 14.9 | 14.7 | 14.8
| S/N | 14.8 | 24.8 | 26.6
| S/N(c) | 14.2 | 16.6 | 13.7
| SN(E/C) | 0.40
|
|
|
|
|
|
|
4900076
| 47
| | Red | Green | Blue
| z | | 19.16
| znorm | | 14.98
| sky | 14.8 | 14.7 | 14.8
| S/N | 15.4 | 25.4 | 27.6
| S/N(c) | 15.0 | 17.4 | 14.4
| SN(E/C) | 0.39
|
|
|
|
|
|
|