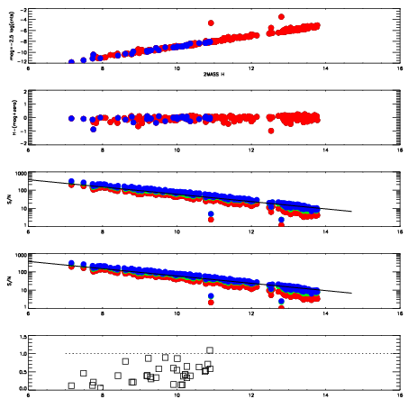
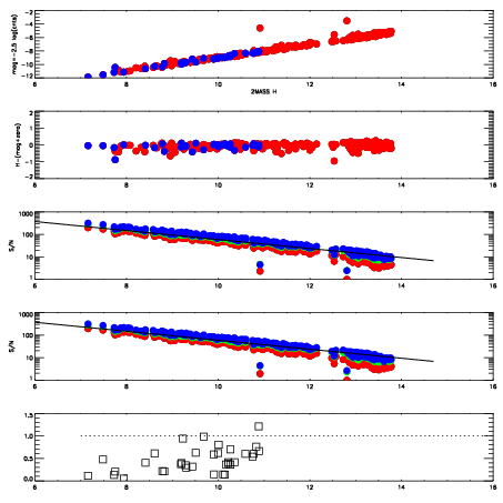
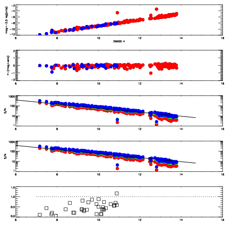
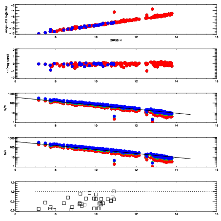
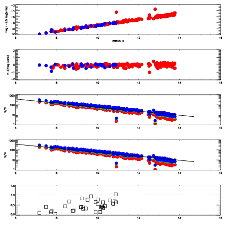
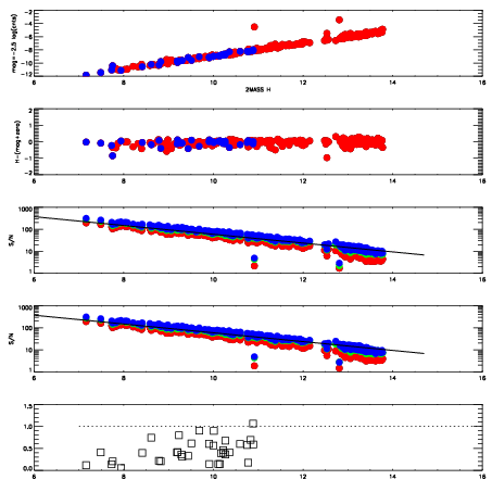
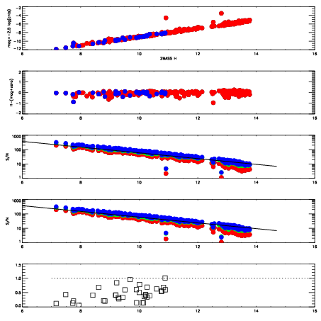
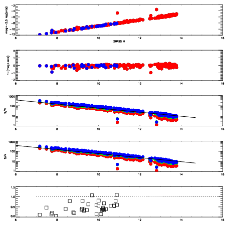
Frame | Nreads | Zeropoints | Mag plots
| Spatial mag deviation
| Spatial sky 16325A emission deviations (filled: sky, open: star)
| Spatial sky continuum emission
| Spatial sky telluric CO2 absorption deviations (filled: H < 10)
|
7890094
| 47
| | Red | Green | Blue
| z | | 18.95
| znorm | | 14.77
| sky | 14.7 | 14.2 | 14.2
| S/N | 14.1 | 22.2 | 24.2
| S/N(c) | 31.2 | 16.8 | 7.6
| SN(E/C) | 0.43
|
|
|
|
|
|
|
7890095
| 47
| | Red | Green | Blue
| z | | 19.01
| znorm | | 14.83
| sky | 14.6 | 14.1 | 14.4
| S/N | 14.9 | 23.8 | 25.9
| S/N(c) | 32.5 | 17.4 | 7.9
| SN(E/C) | 0.41
|
|
|
|
|
|
|
7890096
| 47
| | Red | Green | Blue
| z | | 19.03
| znorm | | 14.85
| sky | 14.8 | 14.3 | 14.3
| S/N | 15.3 | 24.3 | 26.0
| S/N(c) | 32.8 | 17.5 | 8.0
| SN(E/C) | 0.40
|
|
|
|
|
|
|
7890097
| 47
| | Red | Green | Blue
| z | | 19.03
| znorm | | 14.85
| sky | 14.6 | 14.3 | 14.4
| S/N | 14.9 | 24.2 | 25.9
| S/N(c) | 32.8 | 17.6 | 8.0
| SN(E/C) | 0.38
|
|
|
|
|
|
|
7890098
| 47
| | Red | Green | Blue
| z | | 19.07
| znorm | | 14.89
| sky | 14.8 | 14.5 | 14.5
| S/N | 15.3 | 24.8 | 26.6
| S/N(c) | 33.6 | 17.8 | 8.1
| SN(E/C) | 0.41
|
|
|
|
|
|
|
7890099
| 47
| | Red | Green | Blue
| z | | 19.06
| znorm | | 14.88
| sky | 14.9 | 14.5 | 14.5
| S/N | 15.6 | 24.6 | 26.3
| S/N(c) | 33.6 | 17.8 | 8.1
| SN(E/C) | 0.40
|
|
|
|
|
|
|
7890100
| 47
| | Red | Green | Blue
| z | | 19.05
| znorm | | 14.87
| sky | 14.9 | 14.4 | 14.4
| S/N | 15.3 | 24.5 | 26.3
| S/N(c) | 33.3 | 17.7 | 8.1
| SN(E/C) | 0.40
|
|
|
|
|
|
|
7890101
| 47
| | Red | Green | Blue
| z | | 19.03
| znorm | | 14.85
| sky | 15.0 | 14.5 | 14.4
| S/N | 15.1 | 24.5 | 26.1
| S/N(c) | 33.0 | 17.5 | 8.0
| SN(E/C) | 0.40
|
|
|
|
|
|
|