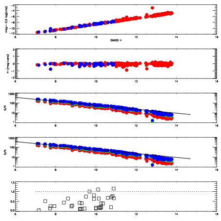
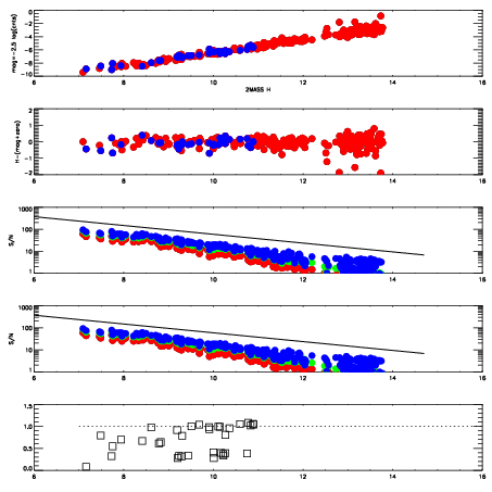
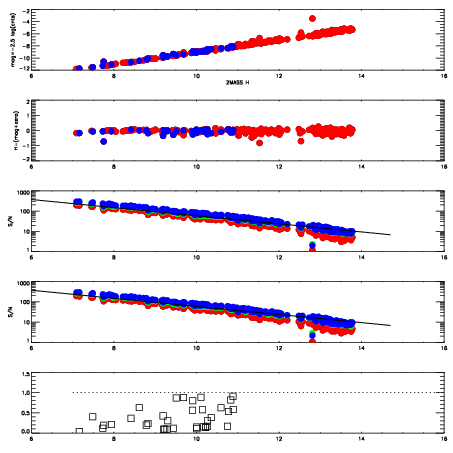
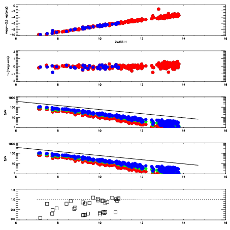
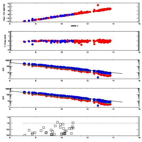
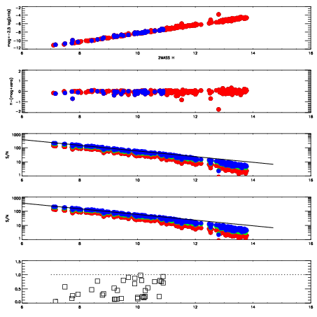
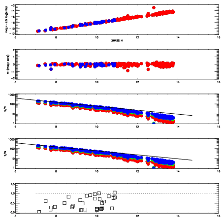
Frame | Nreads | Zeropoints | Mag plots
| Spatial mag deviation
| Spatial sky 16325A emission deviations (filled: sky, open: star)
| Spatial sky continuum emission
| Spatial sky telluric CO2 absorption deviations (filled: H < 10)
|
4920058
| 47
| | Red | Green | Blue
| z | | 19.06
| znorm | | 14.88
| sky | 14.7 | 14.4 | 14.5
| S/N | 14.7 | 25.1 | 27.2
| S/N(c) | 33.7 | 15.8 | 17.9
| SN(E/C) | 0.30
|
|
|
|
|
|
|
4920059
| 47
| | Red | Green | Blue
| z | | 18.87
| znorm | | 14.69
| sky | 14.3 | 14.1 | 14.2
| S/N | 12.1 | 21.6 | 23.6
| S/N(c) | 30.3 | 14.3 | 16.3
| SN(E/C) | 0.35
|
|
|
|
|
|
|
4920060
| 47
| | Red | Green | Blue
| z | | 18.62
| znorm | | 14.44
| sky | 13.9 | 13.8 | 13.9
| S/N | 9.9 | 17.5 | 19.1
| S/N(c) | 26.5 | 12.4 | 14.1
| SN(E/C) | 0.39
|
|
|
|
|
|
|
4920061
| 47
| | Red | Green | Blue
| z | | 18.33
| znorm | | 14.15
| sky | 13.5 | 13.4 | 13.5
| S/N | 7.7 | 14.3 | 15.3
| S/N(c) | 21.7 | 10.5 | 11.9
| SN(E/C) | 0.44
|
|
|
|
|
|
|
4920062
| 47
| | Red | Green | Blue
| z | | 18.13
| znorm | | 13.95
| sky | 13.4 | 13.3 | 13.3
| S/N | 6.8 | 11.8 | 13.3
| S/N(c) | 19.0 | 9.4 | 10.8
| SN(E/C) | 0.49
|
|
|
|
|
|
|
4920063
| 47
| | Red | Green | Blue
| z | | 16.91
| znorm | | 12.73
| sky | 13.0 | 12.9 | 12.9
| S/N | 2.2 | 4.5 | 4.7
| S/N(c) | 6.7 | 3.9 | 4.8
| SN(E/C) | 0.78
|
|
|
|
|
|
|
4920064
| 47
| | Red | Green | Blue
| z | | 15.16
| znorm | | 10.98
| sky | 12.7 | 12.7 | 12.7
| S/N | 0.6 | 0.8 | 1.1
| S/N(c) | 1.3 | 0.8 | 1.3
| SN(E/C) | 0.86
|
|
|
|
|
|
|
4920065
| 47
| | Red | Green | Blue
| z | | 16.49
| znorm | | 12.31
| sky | 12.9 | 12.8 | 12.9
| S/N | 1.6 | 3.1 | 3.8
| S/N(c) | 5.3 | 3.0 | 3.7
| SN(E/C) | 0.70
|
|
|
|
|
|
|