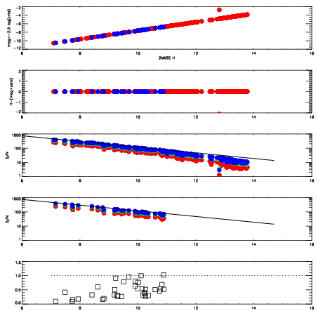
Left plots: red are targets, blue are telluric. Observed mags are calculated from median value of green chip. Zeropoint gives overall throughput: bigger number is more throughput.
First spatial plots: circles are objects, squares are tellurics, crosses are sky fibers. Colors give deviation of observed mag from expected 2MASS mag using the median zeropoint; red is brighter
Second spatial plots: circles are sky fibers. Colors give sky line brightness relative to plate median sky line brightness
FrameNreadsZeropointsMag plots Spatial mag deviation Spatial sky 16325A emission deviations (filled: sky, open: star) Spatial sky continuum emission Spatial sky telluric CO2 absorption deviations (filled: H < 10)
0 0
RedGreenBlue
z17.64
znorm Inf
sky -Inf -Inf -Inf
S/N 14.5 26.5 29.2
S/N(c) 0.0 0.0 0.0
SN(E/C) 0.45

IPAIRNAMESHIFTNEWSHIFTS/N NAMESHIFTNEWSHIFTS/N
0 04920060 0.491311 0.00000 18.6144 04920061 0.000434586 0.490876 18.3134
1 04920059 0.489431 0.00188002 18.8530 04920058 0.00000 0.491311 19.0463
2 04920063 0.488380 0.00293100 16.8473 04920062 0.000783865 0.490527 18.1348
3 04920064 0.490544 0.000767022 15.0875 04920065 -0.000903226 0.492214 16.4444