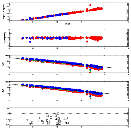
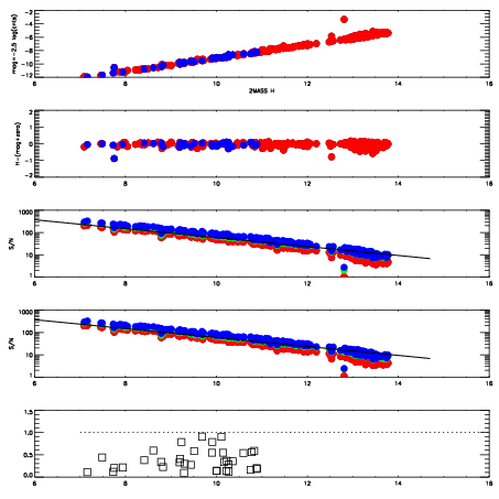
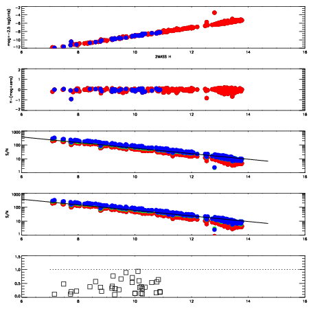
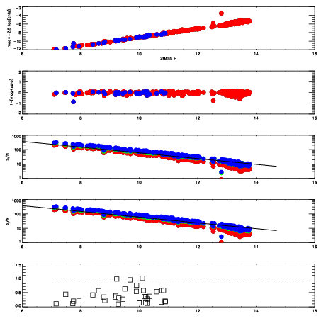
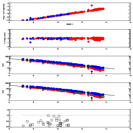
Frame | Nreads | Zeropoints | Mag plots
| Spatial mag deviation
| Spatial sky 16325A emission deviations (filled: sky, open: star)
| Spatial sky continuum emission
| Spatial sky telluric CO2 absorption deviations (filled: H < 10)
|
5220025
| 47
| | Red | Green | Blue
| z | | 19.09
| znorm | | 14.91
| sky | 14.4 | 14.0 | 14.1
| S/N | 16.5 | 27.0 | 28.2
| S/N(c) | 6.7 | 10.4 | 16.6
| SN(E/C) | 0.36
|
|
|
|
|
|
|
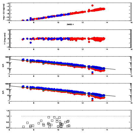
5220026
| 47
| | Red | Green | Blue
| z | | 19.13
| znorm | | 14.95
| sky | 14.1 | 14.1 | 14.1
| S/N | 16.6 | 27.3 | 28.6
| S/N(c) | 6.8 | 10.5 | 16.8
| SN(E/C) | 0.34
|
|
|
|
|
|
|
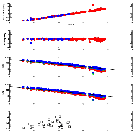
5220027
| 47
| | Red | Green | Blue
| z | | 19.12
| znorm | | 14.94
| sky | 14.2 | 14.1 | 14.2
| S/N | 16.4 | 27.0 | 28.4
| S/N(c) | 6.7 | 10.5 | 16.5
| SN(E/C) | 0.34
|
|
|
|
|
|
|
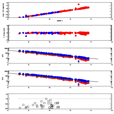
5220028
| 47
| | Red | Green | Blue
| z | | 19.16
| znorm | | 14.98
| sky | 14.2 | 14.2 | 14.3
| S/N | 16.9 | 27.5 | 29.4
| S/N(c) | 6.8 | 10.6 | 17.1
| SN(E/C) | 0.34
|
|
|
|
|
|
|
5220029
| 47
| | Red | Green | Blue
| z | | 19.16
| znorm | | 14.98
| sky | 14.2 | 14.2 | 14.2
| S/N | 17.2 | 27.7 | 29.3
| S/N(c) | 6.8 | 10.8 | 17.2
| SN(E/C) | 0.34
|
|
|
|
|
|
|
5220030
| 47
| | Red | Green | Blue
| z | | 19.15
| znorm | | 14.97
| sky | 14.3 | 14.2 | 14.3
| S/N | 16.6 | 27.4 | 29.3
| S/N(c) | 6.8 | 10.6 | 17.1
| SN(E/C) | 0.33
|
|
|
|
|
|
|
5220031
| 47
| | Red | Green | Blue
| z | | 19.18
| znorm | | 15.00
| sky | 14.4 | 14.3 | 14.3
| S/N | 17.0 | 27.8 | 29.7
| S/N(c) | 6.8 | 10.8 | 17.5
| SN(E/C) | 0.34
|
|
|
|
|
|
|
5220032
| 47
| | Red | Green | Blue
| z | | 19.18
| znorm | | 15.00
| sky | 14.4 | 14.3 | 14.3
| S/N | 16.8 | 27.6 | 29.8
| S/N(c) | 6.9 | 10.8 | 17.6
| SN(E/C) | 0.34
|
|
|
|
|
|
|