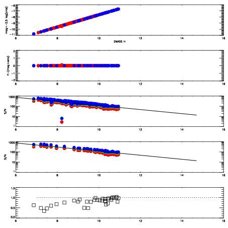
Left plots: red are targets, blue are telluric. Observed mags are calculated from median value of green chip. Zeropoint gives overall throughput: bigger number is more throughput.
First spatial plots: circles are objects, squares are tellurics, crosses are sky fibers. Colors give deviation of observed mag from expected 2MASS mag using the median zeropoint; red is brighter
Second spatial plots: circles are sky fibers. Colors give sky line brightness relative to plate median sky line brightness
FrameNreadsZeropointsMag plots Spatial mag deviation Spatial sky 16325A emission deviations (filled: sky, open: star) Spatial sky continuum emission Spatial sky telluric CO2 absorption deviations (filled: H < 10)
0 0
RedGreenBlue
z17.64
znorm Inf
sky -Inf -Inf -Inf
S/N 30.4 48.4 51.9
S/N(c) 0.0 0.0 0.0
SN(E/C) 0.85

IPAIRNAMESHIFTNEWSHIFTS/N NAMESHIFTNEWSHIFTS/N
0 04650064 0.483486 0.00000 18.5744 04650065 -0.000486213 0.483972 18.7629
1 04650059 0.462273 0.0212130 19.1306 04650058 0.00000 0.483486 19.1467
2 04650060 0.467300 0.0161860 19.0064 04650062 -0.00266995 0.486156 19.0081
3 04650063 0.473921 0.00956500 18.8938 04650061 -0.00103608 0.484522 18.9280