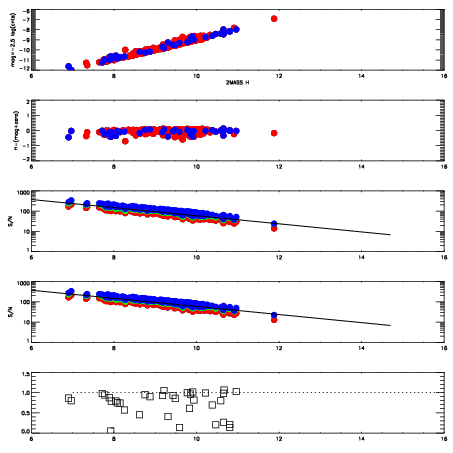
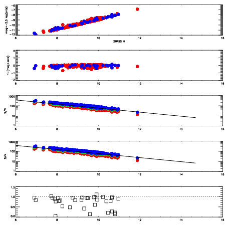
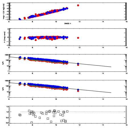
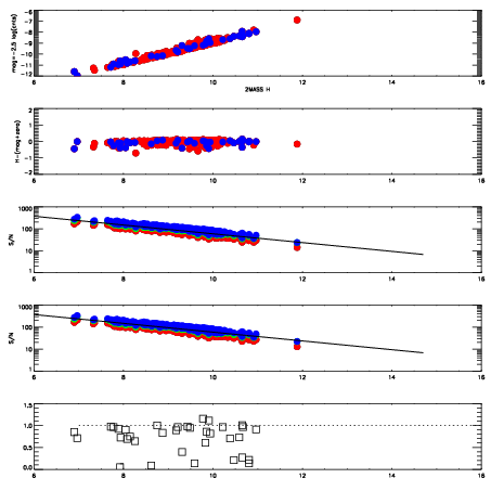
Frame | Nreads | Zeropoints | Mag plots
| Spatial mag deviation
| Spatial sky 16325A emission deviations (filled: sky, open: star)
| Spatial sky continuum emission
| Spatial sky telluric CO2 absorption deviations (filled: H < 10)
|
4630034
| 47
| | Red | Green | Blue
| z | | 18.93
| znorm | | 14.75
| sky | 14.3 | 14.1 | 14.2
| S/N | 12.3 | 20.0 | 20.5
| S/N(c) | 26.7 | 34.4 | 33.4
| SN(E/C) | 0.83
|
|
|
|
|
|
|
4630035
| 47
| | Red | Green | Blue
| z | | 18.97
| znorm | | 14.79
| sky | 14.4 | 14.3 | 14.5
| S/N | 12.2 | 20.2 | 20.8
| S/N(c) | 26.9 | 35.0 | 33.8
| SN(E/C) | 0.82
|
|
|
|
|
|
|
4630036
| 47
| | Red | Green | Blue
| z | | 18.96
| znorm | | 14.78
| sky | 14.5 | 14.4 | 14.4
| S/N | 12.4 | 20.4 | 20.8
| S/N(c) | 26.8 | 34.9 | 33.9
| SN(E/C) | 0.85
|
|
|
|
|
|
|
4630037
| 47
| | Red | Green | Blue
| z | | 18.90
| znorm | | 14.72
| sky | 14.3 | 14.3 | 14.5
| S/N | 12.1 | 19.9 | 20.1
| S/N(c) | 25.7 | 33.8 | 32.7
| SN(E/C) | 0.84
|
|
|
|
|
|
|
4630038
| 47
| | Red | Green | Blue
| z | | 18.80
| znorm | | 14.62
| sky | 14.5 | 14.5 | 14.5
| S/N | 11.5 | 18.9 | 19.3
| S/N(c) | 24.4 | 32.3 | 31.2
| SN(E/C) | 0.87
|
|
|
|
|
|
|
4630039
| 47
| | Red | Green | Blue
| z | | 18.86
| znorm | | 14.68
| sky | 14.6 | 14.4 | 14.5
| S/N | 11.6 | 19.5 | 19.9
| S/N(c) | 25.2 | 33.1 | 32.0
| SN(E/C) | 0.86
|
|
|
|
|
|
|
4630040
| 47
| | Red | Green | Blue
| z | | 18.87
| znorm | | 14.69
| sky | 14.6 | 14.4 | 14.5
| S/N | 12.0 | 20.2 | 20.2
| S/N(c) | 25.5 | 33.3 | 32.1
| SN(E/C) | 0.87
|
|
|
|
|
|
|
4630041
| 47
| | Red | Green | Blue
| z | | 18.88
| znorm | | 14.70
| sky | 14.4 | 14.5 | 14.4
| S/N | 11.8 | 19.7 | 19.9
| S/N(c) | 25.7 | 33.5 | 32.6
| SN(E/C) | 0.87
|
|
|
|
|
|
|