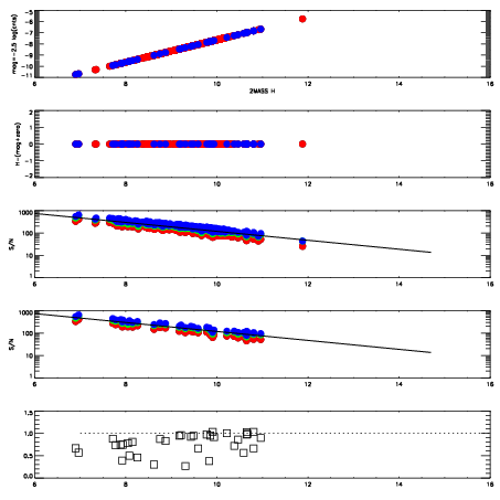
Left plots: red are targets, blue are telluric. Observed mags are calculated from median value of green chip. Zeropoint gives overall throughput: bigger number is more throughput.
First spatial plots: circles are objects, squares are tellurics, crosses are sky fibers. Colors give deviation of observed mag from expected 2MASS mag using the median zeropoint; red is brighter
Second spatial plots: circles are sky fibers. Colors give sky line brightness relative to plate median sky line brightness
FrameNreadsZeropointsMag plots Spatial mag deviation Spatial sky 16325A emission deviations (filled: sky, open: star) Spatial sky continuum emission Spatial sky telluric CO2 absorption deviations (filled: H < 10)
0 0
RedGreenBlue
z17.64
znorm Inf
sky -Inf -Inf -NaN
S/N 21.9 37.5 37.6
S/N(c) 0.0 0.0 0.0
SN(E/C) 0.83

IPAIRNAMESHIFTNEWSHIFTS/N NAMESHIFTNEWSHIFTS/N
0 04630040 0.495506 0.00000 18.8624 04630041 0.00225832 0.493248 18.8810
1 04630035 0.487073 0.00843298 18.9578 04630034 0.00000 0.495506 18.9247
2 04630036 0.487337 0.00816900 18.9569 04630037 0.00257131 0.492935 18.8892
3 04630039 0.488784 0.00672200 18.8534 04630038 0.00178230 0.493724 18.7887