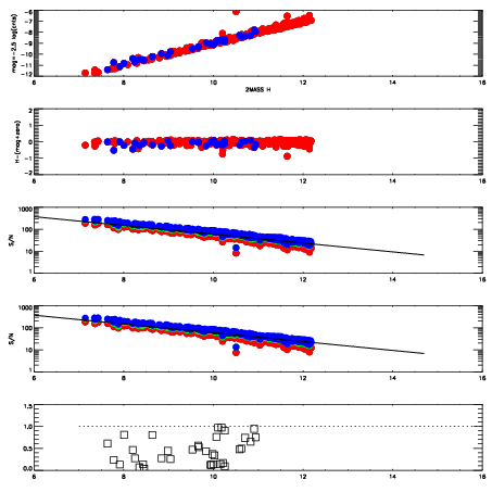
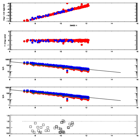
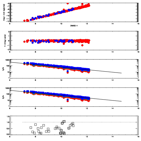
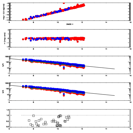
Frame | Nreads | Zeropoints | Mag plots
| Spatial mag deviation
| Spatial sky 16325A emission deviations (filled: sky, open: star)
| Spatial sky continuum emission
| Spatial sky telluric CO2 absorption deviations (filled: H < 10)
|
5180033
| 47
| | Red | Green | Blue
| z | | 18.95
| znorm | | 14.77
| sky | 13.6 | 13.5 | 13.4
| S/N | 13.7 | 22.5 | 22.8
| S/N(c) | 8.5 | 7.9 | 8.5
| SN(E/C) | 0.48
|
|
|
|
|
|
|
5180034
| 47
| | Red | Green | Blue
| z | | 18.99
| znorm | | 14.81
| sky | 13.6 | 13.4 | 13.4
| S/N | 14.1 | 22.7 | 23.7
| S/N(c) | 8.5 | 7.9 | 8.7
| SN(E/C) | 0.50
|
|
|
|
|
|
|
5180035
| 47
| | Red | Green | Blue
| z | | 19.02
| znorm | | 14.84
| sky | 13.6 | 13.5 | 13.5
| S/N | 14.4 | 23.2 | 24.4
| S/N(c) | 8.7 | 8.1 | 8.9
| SN(E/C) | 0.49
|
|
|
|
|
|
|
5180036
| 47
| | Red | Green | Blue
| z | | 19.05
| znorm | | 14.87
| sky | 13.8 | 13.6 | 13.6
| S/N | 14.7 | 24.0 | 25.1
| S/N(c) | 8.7 | 8.3 | 9.1
| SN(E/C) | 0.44
|
|
|
|
|
|
|
5180037
| 47
| | Red | Green | Blue
| z | | 19.03
| znorm | | 14.85
| sky | 13.6 | 13.5 | 13.4
| S/N | 14.5 | 23.5 | 24.5
| S/N(c) | 8.7 | 8.2 | 9.0
| SN(E/C) | 0.49
|
|
|
|
|
|
|
5180038
| 47
| | Red | Green | Blue
| z | | 19.01
| znorm | | 14.83
| sky | 13.4 | 13.3 | 13.3
| S/N | 14.3 | 22.9 | 24.1
| S/N(c) | 8.5 | 8.0 | 8.8
| SN(E/C) | 0.47
|
|
|
|
|
|
|
5180039
| 47
| | Red | Green | Blue
| z | | 19.05
| znorm | | 14.87
| sky | 13.6 | 13.5 | 13.5
| S/N | 14.5 | 23.6 | 25.1
| S/N(c) | 8.7 | 8.1 | 9.0
| SN(E/C) | 0.45
|
|
|
|
|
|
|
5180040
| 47
| | Red | Green | Blue
| z | | 19.02
| znorm | | 14.84
| sky | 13.5 | 13.4 | 13.3
| S/N | 14.3 | 23.4 | 24.5
| S/N(c) | 8.6 | 8.0 | 9.0
| SN(E/C) | 0.48
|
|
|
|
|
|
|