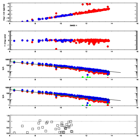
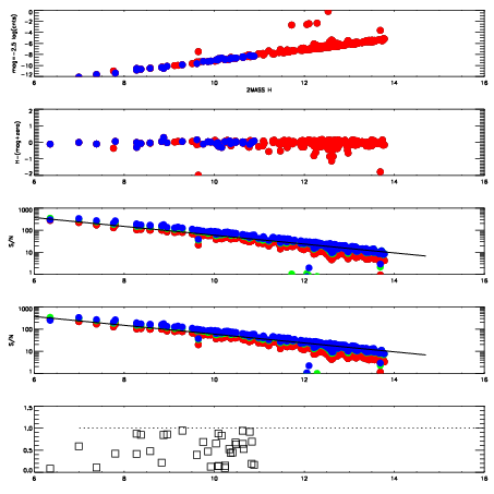
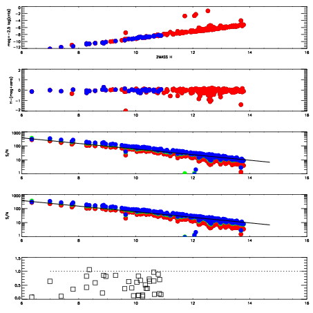
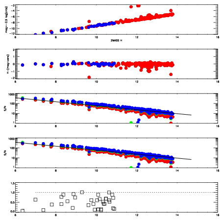
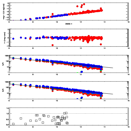
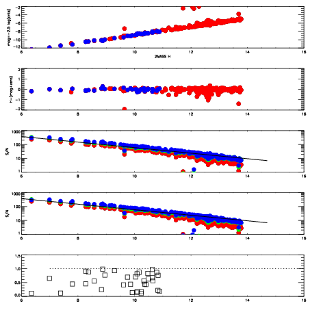
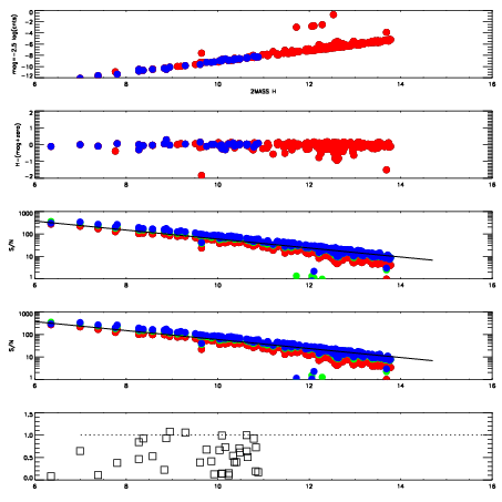
Frame | Nreads | Zeropoints | Mag plots
| Spatial mag deviation
| Spatial sky 16325A emission deviations (filled: sky, open: star)
| Spatial sky continuum emission
| Spatial sky telluric CO2 absorption deviations (filled: H < 10)
|
4900058
| 47
| | Red | Green | Blue
| z | | 19.06
| znorm | | 14.88
| sky | 14.7 | 14.6 | 14.3
| S/N | 14.8 | 24.3 | 25.1
| S/N(c) | 5.8 | 4.3 | 23.2
| SN(E/C) | 0.52
|
|
|
|
|
|
|
4900059
| 47
| | Red | Green | Blue
| z | | 19.08
| znorm | | 14.90
| sky | 14.7 | 14.6 | 14.7
| S/N | 15.3 | 24.9 | 26.3
| S/N(c) | 5.8 | 4.4 | 23.9
| SN(E/C) | 0.52
|
|
|
|
|
|
|
4900060
| 47
| | Red | Green | Blue
| z | | 19.11
| znorm | | 14.93
| sky | 14.9 | 14.7 | 14.7
| S/N | 15.2 | 25.6 | 26.6
| S/N(c) | 6.0 | 4.4 | 24.5
| SN(E/C) | 0.52
|
|
|
|
|
|
|
4900061
| 47
| | Red | Green | Blue
| z | | 19.10
| znorm | | 14.92
| sky | 14.7 | 14.7 | 14.8
| S/N | 15.1 | 25.4 | 26.8
| S/N(c) | 5.9 | 4.4 | 24.2
| SN(E/C) | 0.51
|
|
|
|
|
|
|
4900062
| 47
| | Red | Green | Blue
| z | | 19.10
| znorm | | 14.92
| sky | 14.8 | 14.8 | 14.9
| S/N | 15.2 | 24.9 | 26.4
| S/N(c) | 5.9 | 4.3 | 24.0
| SN(E/C) | 0.52
|
|
|
|
|
|
|
4900063
| 47
| | Red | Green | Blue
| z | | 18.75
| znorm | | 14.57
| sky | 14.1 | 14.2 | 14.3
| S/N | 12.0 | 20.4 | 21.5
| S/N(c) | 4.7 | 3.6 | 19.7
| SN(E/C) | 0.55
|
|
|
|
|
|
|
4900064
| 47
| | Red | Green | Blue
| z | | 18.88
| znorm | | 14.70
| sky | 14.5 | 14.4 | 14.4
| S/N | 12.9 | 22.1 | 23.2
| S/N(c) | 5.1 | 3.9 | 21.4
| SN(E/C) | 0.55
|
|
|
|
|
|
|
4900065
| 47
| | Red | Green | Blue
| z | | 19.05
| znorm | | 14.87
| sky | 14.8 | 14.8 | 14.9
| S/N | 14.5 | 24.7 | 26.1
| S/N(c) | 5.7 | 4.2 | 23.5
| SN(E/C) | 0.54
|
|
|
|
|
|
|