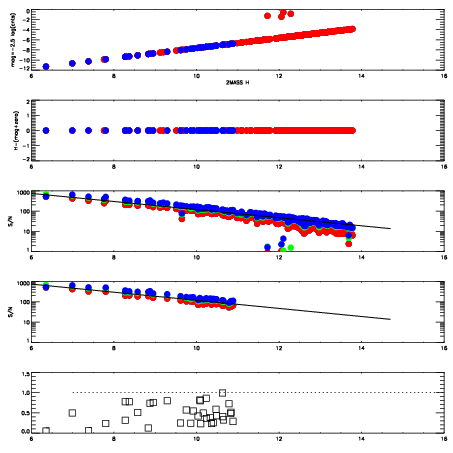
Left plots: red are targets, blue are telluric. Observed mags are calculated from median value of green chip. Zeropoint gives overall throughput: bigger number is more throughput.
First spatial plots: circles are objects, squares are tellurics, crosses are sky fibers. Colors give deviation of observed mag from expected 2MASS mag using the median zeropoint; red is brighter
Second spatial plots: circles are sky fibers. Colors give sky line brightness relative to plate median sky line brightness
FrameNreadsZeropointsMag plots Spatial mag deviation Spatial sky 16325A emission deviations (filled: sky, open: star) Spatial sky continuum emission Spatial sky telluric CO2 absorption deviations (filled: H < 10)
0 0
RedGreenBlue
z17.64
znorm Inf
sky -NaN -Inf -Inf
S/N 25.9 44.9 47.8
S/N(c) 0.0 0.0 0.0
SN(E/C) 0.48

IPAIRNAMESHIFTNEWSHIFTS/N NAMESHIFTNEWSHIFTS/N
0 04900060 0.485802 0.00000 19.0914 04900062 -0.00143667 0.487239 19.0873
1 04900059 0.485537 0.000265002 19.0623 04900061 -0.000732144 0.486534 19.0826
2 04900064 0.485638 0.000164002 18.8738 04900065 -0.00204865 0.487851 19.0448
3 04900063 0.485217 0.000584990 18.7268 04900058 0.00000 0.485802 19.0369