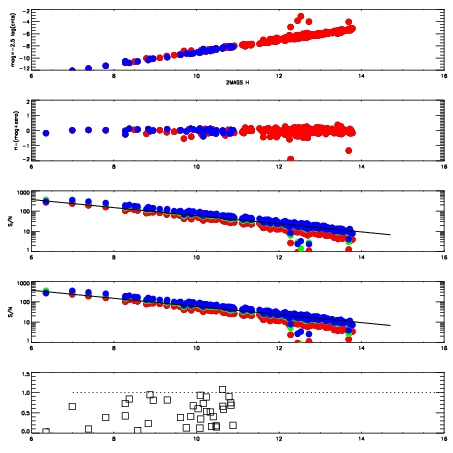
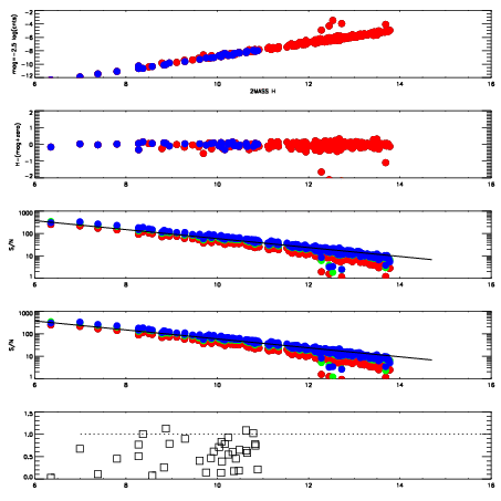
Frame | Nreads | Zeropoints | Mag plots
| Spatial mag deviation
| Spatial sky 16325A emission deviations (filled: sky, open: star)
| Spatial sky continuum emission
| Spatial sky telluric CO2 absorption deviations (filled: H < 10)
|
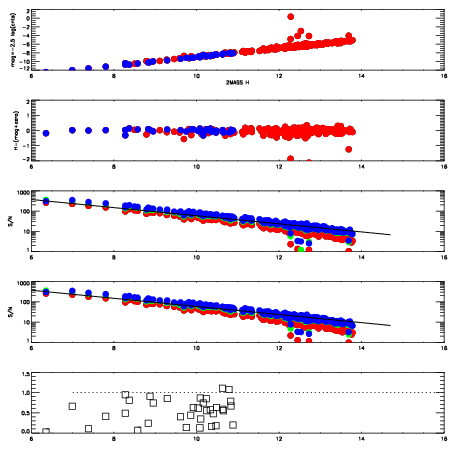
4910058
| 47
| | Red | Green | Blue
| z | | 18.86
| znorm | | 14.68
| sky | 14.8 | 14.4 | 14.3
| S/N | 13.6 | 22.8 | 23.4
| S/N(c) | 16.8 | 16.1 | 31.8
| SN(E/C) | 0.60
|
|
|
|
|
|
|
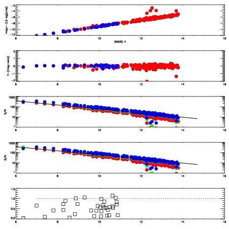
4910059
| 47
| | Red | Green | Blue
| z | | 18.73
| znorm | | 14.55
| sky | 14.7 | 14.4 | 14.6
| S/N | 12.7 | 21.8 | 22.8
| S/N(c) | 16.0 | 15.4 | 29.3
| SN(E/C) | 0.62
|
|
|
|
|
|
|
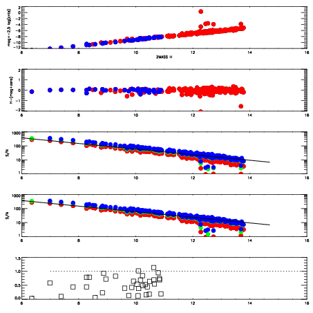
4910060
| 47
| | Red | Green | Blue
| z | | 18.96
| znorm | | 14.78
| sky | 14.5 | 14.5 | 14.5
| S/N | 14.8 | 25.0 | 26.1
| S/N(c) | 17.9 | 17.0 | 32.8
| SN(E/C) | 0.57
|
|
|
|
|
|
|
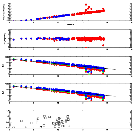
4910061
| 47
| | Red | Green | Blue
| z | | 19.06
| znorm | | 14.88
| sky | 14.5 | 14.4 | 14.6
| S/N | 15.8 | 26.1 | 27.9
| S/N(c) | 19.0 | 17.6 | 34.1
| SN(E/C) | 0.52
|
|
|
|
|
|
|
4910062
| 47
| | Red | Green | Blue
| z | | 19.07
| znorm | | 14.89
| sky | 14.6 | 14.5 | 14.7
| S/N | 15.6 | 26.4 | 28.2
| S/N(c) | 18.9 | 17.5 | 33.8
| SN(E/C) | 0.54
|
|
|
|
|
|
|
4910063
| 47
| | Red | Green | Blue
| z | | 19.05
| znorm | | 14.87
| sky | 14.8 | 14.6 | 14.7
| S/N | 15.6 | 26.3 | 28.0
| S/N(c) | 18.6 | 17.5 | 34.0
| SN(E/C) | 0.56
|
|
|
|
|
|
|
4910064
| 47
| | Red | Green | Blue
| z | | 19.06
| znorm | | 14.88
| sky | 14.6 | 14.7 | 14.7
| S/N | 15.5 | 26.3 | 28.4
| S/N(c) | 18.9 | 17.7 | 34.2
| SN(E/C) | 0.53
|
|
|
|
|
|
|
4910065
| 47
| | Red | Green | Blue
| z | | 19.08
| znorm | | 14.90
| sky | 14.8 | 14.7 | 14.8
| S/N | 15.9 | 26.9 | 29.0
| S/N(c) | 18.5 | 17.4 | 34.3
| SN(E/C) | 0.55
|
|
|
|
|
|
|